Management of fall armyworm, Spodoptera frugiperda (Smith) (Lepidoptera: Noctuidae) in maize (Zea mays L.) in Indonesia and Thailand via mating disruption
Pengendalian ulat grayak, Spodoptera frugiperda (Smith) (Lepidoptera: Noctuidae) pada jagung (Zea mays L.) di Indonesia dan Thailand dengan gangguan kawin
The fall armyworm, Spodoptera frugiperda (Smith), has been problematic in Southeast Asia since its invasion in 2019. Fall armyworm management in these areas largely depends on synthetic insecticide application, and alternative management practices are very few and impractical. The demand for new and more sustainable tools for managing this pest has increased. In this study, we tested the mating disruption (MD) efficacy of fall armyworm sex pheromone in low-density polyethylene dispensers containing 2.5 g of blended active ingredients, (Z)-9-tetradecen-1-yl acetate (Z9-14Ac) and (Z)-11-hexadecen-1-yl acetate (Z11-16Ac) in a ratio of 87:13. The primary objective was to evaluate the optimal density of the dispensers/ha and understand the benefits of MD in reducing the damage caused by fall armyworm and associated insecticide applications as compared to conventional growers’ practices in Indonesia and Thailand. Research was conducted at 16 locations across Indonesia and Thailand in 2020 and 2021 in 9-ha treatment plots and compared to conventional growers practice. Trap reduction, a measure of MD, was significantly higher (74–90%) with 30 dispensers/ha than with non-dispenser areas, suggesting high levels of mating suppression. MD’s primary benefit is damage reduction, where 30 dispensers/ha reduced damage caused by fall armyworm larvae by 34–35% while simultaneously enabling a greater than 50% reduction in insecticide usage compared to the conventional growers’ practice. Our results show the effectiveness and feasibility of MD using pheromones as an essential management tactic for fall armyworm. These results represent a potential step towards more efficacious and sustainable pest management in Southeast Asia.
Downloads
INTRODUCTION
The maize fall armyworm (FAW), Spodoptera frugiperda (J.E. Smith) (Lepidoptera: Noctuidae), is a notorious crop pest that originated from tropical and subtropical America (Sparks, 1979) However, FAW has not just invaded but resiliently established colonies in more than 70 countries across Africa, Asia, and Australia, demonstrating its global reach and impact (Tay et al., 2023) Its highly adaptive strategies, polyphagous nature, short life cycle, migration patterns, high reproductive potential, and increased capability to adapt to new environments have contributed to its relentless spread to various regions outside its native range (Sharanabasappa et al., 2018);(Dharmayanthi et al., 2022) where maize, (Zea mays L.) is an important staple food crop. For instance, in Thailand, the Department of Agriculture (DoA) detected FAW in a few sub-districts of the Kanchanaburi and Tak Provinces along the border of Myanmar in December 2018 (Chaireunkaew et al., 2022) Similarly, FAW reached West Sumatra, Indonesia, in March 2019 (Trisyono et al., 2019);(Sartiami et al., 2020) In the same year, FAW quickly invaded other provinces on Sumatra Island (Hutasoit et al., 2020) Java (Rizali et al., 2021) and Bali Islands (Supartha et al., 2021) spanning hundreds of kilometers across the Indonesian archipelago. Since its establishment in Thailand and Indonesia, FAW has wreaked havoc and caused substantial economic damage to maize fields throughout the Asia–Pacific region (Groote H et al., 2020).
The larvae of S. frugiperda are ferocious herbivores that can destroy maize plants as they feed on whorl leaves, leaving holes or until only the vein, epidermal layer, and stems are stranded off maize plants. Furthermore, they burrow through the husk and feed on the kernels, causing damage to the ear (Sarkowi & Mokhtar, 2021) Initially, insecticide label expansion was the only control measure used to curb the outbreak. Massive application of synthetic insecticides and government subsidies have become an emergency control strategy for managing FAW in Thailand and Indonesia. Because FAW is an invasive pest, insecticide resistance has also been applied to new regions (Tay et al., 2023);(Gutiérrez-Moreno et al., 2019) reported that FAW developed resistance to at least 29 active ingredients of insecticides via six modes of action. Considering the unwanted negative impacts of synthetic insecticide application on natural enemies, the environment, and human health, there is an urgent need for more sustainable management strategies for FAW.
One sustainable pest management method for managing FAW is mating disruption (MD) via sex-pheromones (Witzgall et al., 2010);(López-Urquídez et al., 2023) MD prevents reproduction in the targeted pest. Communication between males and females is disturbed through competitive and non-competitive mechanisms, resulting in mating failure (Rizvi et al., 2021) MD has been studied and has been successfully implemented in various crops. Recently, it was introduced to manage yellow rice stemborers in Indonesia (Iqbal et al., 2023) Mating disruption in FAW with pheromones has been well studied in Mexico and has been shown to increase the biodiversity of natural insect enemies(López-Urquídez et al., 2023) Preventing FAW reproduction is critical, as they have high fecundity with three generations per growing season in warm tropical conditions, such as Indonesia and Thailand (Russianzi et al., 2021).
One of the historical limitations of mating disruption is the high cost of synthesizing sex pheromones (Holkenbrink et al., 2020) In recent years, catalysis-based pheromone manufacturing processes that require fewer synthetic steps and are more sustainable have been developed (Wampler et al., 2021) This innovation has resulted in more affordable pheromone-based products for use in row crops. This technology can be used in a wide field area to achieve high efficacy of MD in managing FAW. Mating disruption technology for FAW has been registered in Mexico (López-Urquídez et al., 2023) and Brazil (Schirmer et al., 2023) and is being used commercially. These are considered safer pest management under the biopesticide product category (Prasanna et al., 2021) Therefore, MD has high potential as a sustainable strategy to integrate with FAW pest management and be evaluated in Asia.
The main objective of these trials was to understand the potential of MD in terms of damage reduction, insecticide application reduction, and yield protection. The results will allow us to understand the potential inclusion of pheromone- based MD compared to conventional growers’ practices, which primarily involve insecticide applications in managing FAW in corn.
MATERIAL AND METHOD
Field trial locations
Field trials were conducted for two consecutive years, starting in November 2020 in Indonesia and the March 2021 planting season in Indonesia and Thailand. Sixteen trials were conducted across the Java and Sumatra islands of Indonesia and Thailand’s key maize-producing provinces. The trials will be completed by the end of 2021. We collaborated with more than 500 growers to procure nearly 600 ha of land for these trials. The details of the locations are presented in Table 1.
Materials
These large-scale studies evaluated the performance of slow-release low-density polyethylene (LDPE) dispensers filled with 2.5 grams of blended FAW sex-pheromone active ingredients, (Z)-9-tetradecen-1-yl acetate (Z11- 16Ac), and (Z)-11-hexadecen-1-yl acetate (Z11- 16Ac) in a ratio of 87:13. Dispensers were installed on thin bamboo sticks with a cable tie 0.5 m above the ground. Pheromone bucket traps were used to trap the male moths and to evaluate MD via trap reduction. Commercially available FAW lures with similar blend ratios and bucket traps were purchased from Pherobio Technology Company, Ltd., Beijing, China. FAW lures were installed in the traps at 0.5 to 0.7m and replaced every 20 days. Both dispensers and traps were installed as soon as the maize germinated after sowing, approximately one week after sowing. The sowing of all treatments at each location was completed within ten days to achieve a similar plant stage. Similar maize hybrids were planted in both pheromone treatment plots, pheromone foundational practice (PFP) and conventional grower’s practice (CGP), at each location to maintain uniformity.
Experimental design and plot layout
Each trial location consisted of two treatments: pheromone foundational practice (PFP), treatment with dispensers containing blended FAW sex pheromone active ingredients, and conventional growers’ practices (CGP), treatment based on common growers’ practices to manage FAW. To ensure that the small plot size did not negatively affect the potential benefits of MD, the PFP treatment plots were 9-ha. The internal dose rate optimization of FAW dispensers tested with the same parameters as in these experiments, at ten dispenser increment levels from zero to 50 dispensers/ha revealed that a range of 20 to 40 dispensers/ha was an appropriate density (Provivi, internal data 2020). Since the minimum area treated is unnecessary for CGP or control, a 2-ha plot in the same area was demarcated. We reduced the edge effects wherever possible by selecting near-square-shaped PFP and CGP plots. A 200–500 m buffer was maintained between the PFP and CGP plots to minimize the drift of pheromones and contamination of treatments. All treatment plots were at least 100 m from a light source to avoid interference towards pheromone traps. A pheromone trap was installed in the middle of each hectare for each treatment. Additionally, to monitor the FAW population in the surrounding areas, four to six additional pheromone traps were installed in all directions of the trial location while maintaining at least 200 m from the PFP plots.
| Country | Province |
District |
Village |
Year | Season occurrence |
Planting season |
Plot size/ Treatment |
|---|---|---|---|---|---|---|---|
| Indonesia | East Java |
Lamongan |
Paciran |
2020 |
November 2020– February 2021 |
Wet season |
9 |
| Indonesia | East Java |
Tuban |
Tambakboyo |
2020 |
November 2020– February 2021 |
Wet season |
9 |
| Indonesia | East Java |
Gresik |
Lowayu |
2020 |
November 2020– February 2021 |
Wet season |
9 |
| Indonesia | South Sumatra |
Lampung |
Adiluwih |
2020 |
November 2020– February 2021 |
Wet season |
9 |
| Indonesia | South Sumatra |
Lampung |
Tanjung- Bintang |
2020 |
November 2020– February 2021 |
Wet season |
9 |
| Indonesia | East Java |
Jember |
Grenden Puger |
2021 |
March 2021– June 2021 |
Dry season |
9 |
| Indonesia | East Java |
Situbondo |
Karangasem |
2021 |
March 2021– June 2021 |
Dry season |
9 |
| Indonesia | East Java |
Jember |
Kemuning |
2021 |
March 2021– June 2021 |
Dry season |
9 |
| Indonesia | East Java |
Situbondo |
Patek |
2021 |
June 2021– October 2021 |
Dry season |
9 |
| Indonesia | East Java |
Nganjuk |
Sonobekel |
2021 |
June 2021– October 2021 |
Dry season |
9 |
| Indonesia | East Java |
Situbondo |
Tanjung Kamal |
2021 |
June 2021– October 2021 |
Dry season |
9 |
| Indonesia | East Java |
Situbondo |
Wringinanom |
2021 |
June 2021– October 2021 |
Dry season |
9 |
| Thailand | Chiangmai |
Maejam |
Maejam |
2021 |
May 2021– October 2021 |
Wet season |
9 |
| Thailand | Uthaithani |
Sawang Arom |
Sawang Arom |
2021 |
May 2021– October 2021 |
Wet season |
9 |
| Thailand | Nakhon Sawan |
Takhfa |
Takhfa |
2021 |
May 2021– October 2021 |
Wet season |
9 |
| Thailand | Nakhon Sawan |
Takhli |
Takhli |
2021 |
May 2021– October 2021 |
Wet season |
9 |
Need-based insecticide applications
The PFP treatment plot was sprayed with approved insecticides at a labeled rate when a threshold of 20% of the damage was noticed, with damage defined as a Davis damage severity scale (Davis et al., 1992) of 3 out of 9 on the top three whorl leaves. For the CGP treatment, there was no restriction on insecticide application, and they were made according to each grower’s practice.
Data collection
Moth capture. To understand trap reduction (MD), starting from the installation, moth capture assessments were made every seventeen days until harvest (~90 days crop). At each assessment, the male FAW moths caught in the traps were counted and the traps were reset with water mixed with non-odor detergent or oil.
Damage assessments. Vegetative damage assessments were conducted at regular intervals, starting seven days after the installation of dispensers in the field. Damage assessments were performed by scouting the damage severity caused by the FAW larvae. Damage in the vegetative stage was assessed on the top three whorl leaves based on the Davis damage severity scale of 0 to 9, where a higher severity denotes more significant damage by FAW larvae (Davis et al., 1992) Damage in the vegetative stages was assessed until the tasseling stage at seven-day intervals until 49 days after planting, with a damage rating of 20 plants per transect and 15 to 20 transects/ha. The distance between sampling points was 17 m.
Insecticide application. Insecticide application was recorded in both PFP and CGP treatment plots. The type of insecticide and dose rate were also recorded.
Data analysis
Trap reduction as a measure of mating disruption. The reduction in adult (male) moth trap counts in the PFP versus CGP is a proxy for mating disruption. Trapping reduction is the percentage decrease in moth captures in PFP traps compared to non-dispenser areas, such as CGP. Moth counts were modeled as an overdispersed Poisson variable as a function of pheromone treatment, time, and spatiotemporal random effects to account for the inherent correlations within and between trials. A hierarchical Bayesian framework was used to allow for the expected nonlinear, nonincreasing trend in trapping reduction over time. The nonlinear function used to model the trapping reduction over time is highly flexible and allows trapping reduction associated with the pheromone treatment to remain constant for many days before the expected decrease (at some point in time, all dispensers will eventually run out of pheromone active ingredient and will stop working), and then plateau at no pheromone effect, that is, no trapping reduction related to the pheromone treatments. Alternatively, if no trapping reduction is observed, the model allows this possibility. The model was fitted in MATLAB (Inc, 2021) using customized sampling algorithms.
Damage reduction as a result of mating disruption. This analysis aimed to determine whether there was a significant reduction in leaf damage in plots under the PFP treatment compared to plots under the CGP treatment. Damage reduction is the percentage decrease in the damage scale in PFP fields compared to non- dispenser areas such as CGP. The damage rating scale per sampling point was modeled as an over-dispersed ordinal variable as a function of pheromone treatment and spatiotemporal random effects to account for the inherent correlations within and between trials. The model was similar to a generalized linear mixed model (GLMM), but with spatiotemporal random effects defined as in the trap count model and not based on qualitative groupings. Again, a hierarchical Bayesian model framework was used, and the model was fitted through a customized slice-sampling algorithm in MATLAB (Inc, 2021) using customized sampling algorithms.
Insecticide usage reduction with mating disruption. The collected data from several insecticide spray applications in the PFP and CGP plots were analyzed by comparing them with a paired t-test in MATLAB (Inc, 2021).
RESULTS
Trap reduction as a measure of mating disruption
Lower trap captures in the PFP than in the CGP indicate higher mating disruption. In the absence of pheromone dispensers, normal moth captures occur when pheromone traps are installed. FAW moths captured in CGP with no pheromones (control) in Indonesia’s wet season 2020 trial locations ranged from six to 30 months per trap. East Java had a higher moth pressure than South Sumatra Figure 1 Seasonal variation in the FAW moth pressure differed as moth pressure in control plots was higher (up to 60 moths/trap/day) in the northern and western parts of East Java (Situbundo and Nganjuk regencies) than in the southern part of the Jember regency (two to four moths/trap/day). Compared to Indonesia, four locations across the central and northern parts of Thailand captured fewer moths in the control plots, one to two moths/ trap/day Figure 2.
The analysis of trap reduction in Indonesia’s wet season 2020, as a measure of mating disruption, concluded that all PFP treatments, 20, 30, and 40 dispensers/ha, significantly reduced trap captures compared to control plots Figure 3 The analysis of moth captures in the five locations showed strong evidence of trapping reduction in all PFP treatments. The maximum trapping reduction was observed with 40 dispensers/ha, with a median trapping reduction of 88% (79–93% at 95% CI) over the entire 90-day season. However, 20 and 30 dispensers/ha treatments also provided season- long trapping reduction, with a median trapping reduction of 69% (47–86% at 95% CI) and 74% (60–85% at 95% CI), respectively Table 2.
The trapping results from the 2021 season, from seven locations in Indonesia and four locations in Thailand, showed a significant reduction in trapping in 30 and 40 dispensers/ha treatment plots Figure 3. A median trapping reduction of 90% (75–93% at 95% CI) and 93% (87–96% at 95% CI) was observed for 30 and 40 dispensers/ha treatments as season-long trapping reduction. The 20 dispensers/ha treatment also showed a season- long trapping reduction, with a median of 69% Table 2 However, wider credible intervals were observed in the 20 dispensers/ha (47–86% at 95% CI) treatment, showing less consistent disruption during the cropping season. Both the 30 and 40 dispensers/ha treatments led to significantly higher trapping reductions than the 20 dispensers/ha treatments (P < 0.05; Bayesian P-value).
Figure 1.Moth captures in the traps placed in pheromone treatment plots (PFP–pheromone foundational practice) at 20, 30, and 40 pheromone dispensers/ha as compared to no-pheromone control plots (CGP–conventional growers practice) to demonstrate trap reduction as a result of mating disruption. Five locations are distributed in Java and Sumatra Islands in Indonesia during the wet season of 2020.
Figure 2.Moth captures in the traps placed in pheromone treatment plots (PFP–pheromone foundational practice) at 20, 30, and 40 pheromone dispensers/ha as compared to no-pheromone control plots (CGP–conventional growers practice) to demonstrate trap reduction as a result of mating disruption. Seven locations are distributed in East Java (Indonesia) and four across Thailand in the 2021 maize production season.
Figure 3.Overall, season-long average trapping reduction due to mating disruption in pheromone treatment plots (PFP–pheromone foundational practice) at 20, 30, and 40 pheromone dispensers/ha compared to no-pheromone control plots (CGP–conventional growers practice). Sixteen locations: 2020 - Five locations are distributed in Java and Sumatra Islands in Indonesia during the wet season. 2021 - Seven locations are distributed in East Java (Indonesia) and four across Thailand.
Damage reduction as a measure of mating disruption
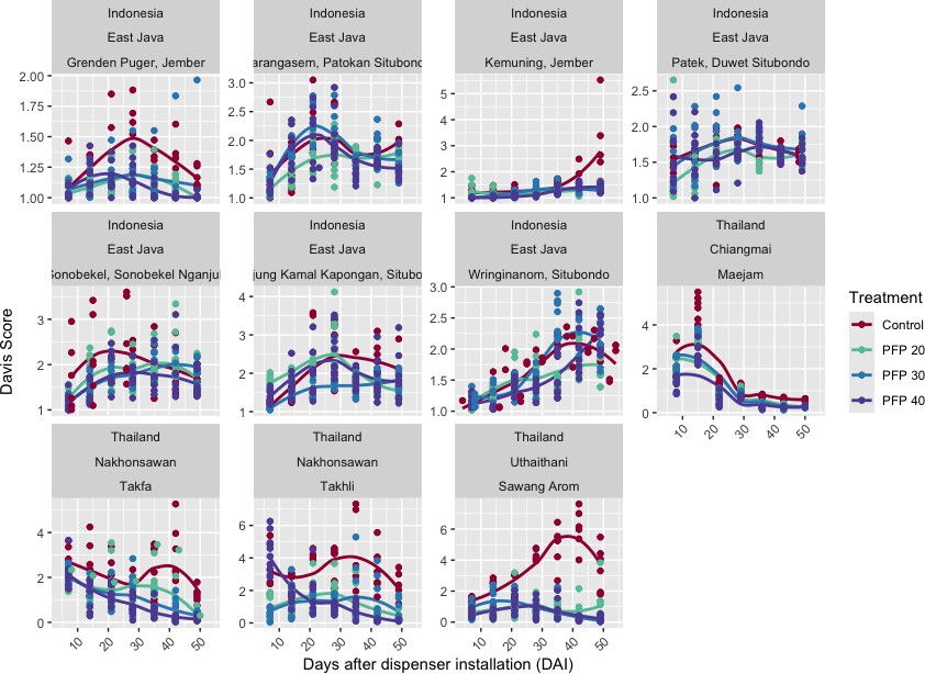
Data analysis was performed on the damage caused by the larval population of fall armyworms among various pheromone treatments collected on the Davis Scale, 0 to 9, where a higher scale corresponds to more significant damage. Figure 4 shows the damage to the vegetative stages of maize (up to 45–50 days after planting) in the wet season of Indonesia in 2020. All five locations had an average score ranging between 0 and 5, whereas Southeast Asia 2021 had a higher range of average scores between 0 and 7 Figure 5 Two locations in Thailand (2021), Takhi, Nakhonsawan, and Sawang Arom, Uthaithani, experienced
Locations & Seasons |
Treatment |
Median TR* |
TR*: lower 95% credible interval |
TR*: upper 95% credible interval |
|---|---|---|---|---|
Indonesia wet season 2020 |
PFP 20 |
69 |
47 |
86 |
Indonesia wet season 2020 |
PFP 30 |
74 |
60 |
85 |
Indonesia wet season 2020 |
PFP 40 |
88 |
79 |
93 |
Southeast Asia 2021 |
PFP 20 |
85 |
37 |
93 |
Southeast Asia 2021 |
PFP 30 |
90 |
75 |
93 |
Southeast Asia 2021 |
PFP 40 |
93 |
87 |
96 |
Figure 4.Larval damage caused by FAW (fall armyworm, Spodoptera frugiperda) on the vegetative stages of maize (up to 45 to 50 days after planting) measured on a Davis scale of 0 to 9 (9 being greater damage) in the pheromone treatment plots (PFP–pheromone foundational practice) at 20, 30, and 40 pheromone dispensers/ha as compared to no-pheromone control plots (CGP–conventional growers practice) as a result of mating disruption. Each data point is the average Davis score associated with a transect. Five locations are distributed in Java and Sumatra Islands in Indonesia during the wet season of 2020.
Figure 5.Larval damage caused by FAW (fall armyworm, Spodoptera frugiperda) on the vegetative stages of maize (45 to 50 days after planting) measured on a Davis scale of 0 to 9 (9 being greater damage) in the pheromone treatment plots (PFP–pheromone foundational practice) at 20, 30, and 40 pheromone dispensers/ha as compared to no-pheromone control plots (CGP–conventional growers practice) as a result of mating disruption. Each data point is the average Davis score associated with a transect. Seven locations are distributed in East Java (Indonesia) and four across Thailand in the 2021 maize production season.
more severe damage than the others. At various locations, the damage in the pheromone-treated plots was lower than that in the control plots. We also noticed that the 30 and 40 dispensers/ ha treatments had lower damage ratings than the 20 dispensers/ha and CGP treatments did. The severity of the damage, shown as the proportion of plants reaching various levels of the Davis Scale, is presented in Figure 6;Figure 7.
The severity of the damage, combined for five locations in Indonesia during the wet season of 2020, showed that the control plots, even when applied with more insecticide treatments, often reached the economic threshold of damage (20% of plants reaching more than three on the Davis Scale). However, the severity of damage in the pheromone treatments was lower, despite fewer insecticide sprays Figure 6 Damage severity at 11 locations across Indonesia and Thailand (2021) showed a similar trend, with a more significant proportion of plants reaching severe damage in the control plots Figure 7 We also noticed that the PFP 20 dispensers/ha treatment caused slightly more damage than the 30 and 40 dispensers/ha treatments.
Overall, damage reduction analysis from five locations in Indonesia during the wet season of 2020 showed that all PFP treatments (20, 30, and 40 dispensers/ha) worked very well, providing a median damage reduction of 35, 34, and 39% over the control plots, respectively Table 3 The differences between the PFP treatments were not statistically significant (P > 0.05; Bayesian P-value) Figure 8 For Southeast Asia’s 2021 damage results, all treatments significantly reduced the damage compared with the control
Figure 6.The severity of damage shown as proportion of damaged plants sampled due to FAW (fall armyworm, Spodoptera frugiperda) on the vegetative stages of maize (45 to 50 days after planting) measured on a Davis scale of 0 to 9 (9 being greater damage) in the pheromone treatment plots (PFP–pheromone foundational practice) at 20, 30, and 40 pheromone dispensers/ha as compared to no-pheromone control plots (CGP–conventional growers practice) as a result of mating disruption. Five locations are distributed in Java and Sumatra Islands in Indonesia during the wet season of 2020.
Figure 7.The severity of damage shown as proportion of damaged plants sampled due to FAW (fall armyworm, Spodoptera frugiperda) on the vegetative stages of maize (45 to 50 days after planting) measured on a Davis scale of 0 to 9 (9 being greater damage) in the pheromone treatment plots (PFP–pheromone foundational practice) at 20, 30, and 40 pheromone dispensers/ha as compared to no-pheromone control plots (CGP–conventional growers practice) as a result of mating disruption. Seven locations are distributed in East Java (Indonesia) and four across Thailand in the 2021 maize production season.
Locations & seasons |
Treatment |
Median DR* |
DR*: lower 95% credible interval |
DR*: upper 95% credible interval |
|---|---|---|---|---|
Indonesia wet season 2020 |
PFP 20 |
35 |
18 | 49 |
Indonesia wet season 2020 |
PFP 30 |
34 |
15 | 49 |
Indonesia wet season 2020 |
PFP 40 |
39 |
10 | 57 |
Southeast Asia 2021 |
PFP 20 |
28 |
17 | 37 |
Southeast Asia 2021 |
PFP 30 |
35 |
26 | 43 |
Southeast Asia 2021 |
PFP 40 |
39 |
30 | 47 |
Figure 8.Overall damage reduction on the vegetative stages of maize (45 to 50 days after planting) due to mating disruption in pheromone treatment plots (PFP–pheromone foundational practice) at 20, 30, and 40 pheromone dispensers/ha compared to no-pheromone control plots (CGP–conventional growers practice). Sixteen locations: 2020 - Five locations are distributed in Java and Sumatra Islands in Indonesia during the wet season. 2021 - Seven locations are distributed in East Java (Indonesia) and four across Thailand.
plots. The PFP 20, 30, and 40 dispensers/ha treatments provided a median damage reduction of 28, 35, and 39%, respectively, compared to the control plots. PFP 40 treatment led to significantly greater damage reduction than PFP 20 treatment (P < 0.05; Bayesian P-value) Table 3 However, the PFP 30 and 40 dispenser/ha treatments provided statistically equal damage reduction results.
Reduction in insecticide applications as a result of mating disruption
Insecticide applications in all PFP plots were based on the threshold for the highest treatment rate of PFP 40, while control plots were sprayed at the discretion of the participating farmers. The number of insecticide applications in the PFP versus control plots is displayed for each location in Figure 9 At all locations, the pheromone treatment plots always received fewer insecticide sprays. At least two applications were made in the control plots and as many as eight applications were made in the vegetative phases of the crop. None of the PFP plots received more than two insecticide sprays per season to control FAW at all 16 locations. Overall, insecticide applications were analyzed by a paired t-test, which showed that PFP fields used significantly fewer insecticide applications (P < 0.001; from paired t-test) Figure 10.
Figure 9.The number of insecticide applications made to reduce FAW (fall armyworm, Spodoptera frugiperda) larval damage in pheromone treatment plots (PFP–pheromone foundational practice) compared to no-pheromone control plots (CGP–conventional growers practice) at various locations. Split by field size. Sixteen locations: 2020 - Five locations are distributed in Java and Sumatra Islands in Indonesia during the wet season. 2021 - Seven locations are distributed in East Java (Indonesia) and four across Thailand.
Figure 10.Insecticide applications made in pheromone treatment plots (PFP–pheromone foundational practice) compared to no-pheromone control plots (CGP–conventional growers practice). Each data point is the represents one trial location field. Sixteen locations: 2020 - Five locations are distributed in Java and Sumatra Islands in Indonesia during the wet season. 2021 - Seven locations are distributed in East Java (Indonesia) and four across Thailand.
DISCUSSION
Spodoptera frugiperda, the fall armyworm (FAW) its invasion in 2019, has become a significant threat to maize production in Southeast Asian maize-growing areas, including Indonesia and Thailand (Herlinda et al., 2022) Subsidized by the government, synthetic insecticides have become an emergency control strategy for FAW in invaded countries (Huesing et al., 2018) Insecticide applications are the only measures currently available to farmers for managing FAW. The present study shows the potential of mating disruption for the wider, safer, and more sustainable management of FAW in Indonesia and Thailand. These field studies were undertaken in 2020-21 in Indonesia and Thailand, where we tested LDPE dispensers filled with 2.5 grams of blended FAW sex-pheromone active ingredients, Z9-14Ac, and Z11-16Ac in a ratio of 87:13. These dispensers were installed in contiguous maize- producing areas of Indonesia and Thailand. At 16 locations, three different densities (20, 30, and 40 dispensers/ha) were tested in 9-ha plots for each treatment. MD for FAW requires larger areas to be treated, as FAW moths can fly long distances, and there is a possibility of already-mated females migrating into the pheromone-treated (PFP) plots (Carde, 2021).
Pheromone traps with FAW-specific pheromone lures to capture male moths in conventional farmer plots can be used to monitor the population level of FAW (Muthukumar & Kennedy, 2021) and also as a base to measure trapping reduction when compared to the moth capture in PFP plots (Cork et al., 2008) Based on the number of male FAW moths captured in PFP treatments compared to CGP areas, we can see a dose response where a higher density of dispensers provided higher MD in Indonesia’s wet season in 2020. The PFP 40 dispensers/ha treatment had the highest effect, with 88% median trap reduction. However, when we tested more locations in 2021, PFP 30 and 40 dispensers/ha rates had statistically equal performance of 90-93% median trapping reduction. The virulence of FAW populations differed from season to season and from location to location. Higher FAW moth captures in the control areas were observed in Thailand than in Indonesia. However, cropping patterns and practices have not been explicitly investigated in these studies. However, this suggests that the dispersal patterns of FAW largely depend on the monoculture of maize, as seen in Thailand and East Java locations, as compared to the more fragmented and intercropping patterns of maize production in Sumatra Island of Indonesia. The increased moth population in Indonesia from the 2020 wet season to the 2021 dry season may be caused by several factors, including a carry-over population from the previous season and rising temperatures suitable for FAW population growth (Maharani et al., 2021).
The trap reduction analysis results showed that PFP 40 dispensers/ha consistently performed in all five locations during the 2020 Indonesia wet season, and PFP 30 dispensers/ha provided statistically equal performance to PFP 40 in all 11 locations tested in Thailand and Indonesia, with a median season-long trapping reduction of 90%. The higher trapping reduction in the PFP treatment plots proves that MD prevents males from effectively finding female FAW moths via competitive sexual confusion (Miller & L.J., 2015) The density of PFP 30 dispensers/ha pheromone dispensers resulted in higher pheromone concentrations in the air, causing sexual confusion and difficulty in finding a mate. The dispenser density effect can be seen in Indonesia and Thailand, where PFP with 30 dispensers/ha treatment led to significantly greater trapping reduction than PFP with 20 dispensers/ha.
In the absence of direct measures of mating disruption, such as those from mating tables or tethered female moths(McVeigh et al., 1983) a reduction in infestation by the insect pest is the only reliable indication that mating disruption has occurred (Cork et al., 1996) The damage caused by the larval population was assessed based on the severity of 0 to 9, as (Davis et al., 1992) suggested. Compared to CGP, MD in PFP treatments significantly reduced larval damage, primarily due to lower mating and subsequent oviposition by female FAW moths. (Mitchell & McLaughlin, 1982) reported the effect of MD on FAW egg deposition reduction. The decreased FAW reproduction led to a 34–35% reduction in larval damage in the PFP 30 dispensers/ha treatment compared to the CGP. It is also probable that infestation levels underestimate mating disruption, presumably because some of the larvae in the PFP plots originated from immigrating gravid female moths. (Ge et al., 2021) who worked on the reproduction and migratory flights of FAW female moths, estimated strong flight ability during the early oviposition phase. It is likely that in the presence of suitable oviposition sites, females lay their eggs as soon as possible after mating. Thus, in the trials described here using plots of 9 ha surrounded by maize of a similar age, immigration may not have been extensive.
In the case of FAW, direct yield losses can occur through larvae feeding on the developing or mature part of the harvested plant (e.g., invading the ears of maize and feeding on the cob or feeding directly on the grain), thereby directly reducing yields (Harrison, 1984) Indirect yield losses can occur through defoliation, which can minimize grain production owing to a decrease in the photosynthetic area (Vilarinho et al., 2011) and/or the loss of seedlings. In the present study, all damage assessments were performed during the vegetative stages of maize, as these stages are vulnerable to FAW attacks. These are the stages of maize where insecticide applications are accessible, owing to the height and growth of the maize crop. Since no comparison with infestation levels in completely untreated plots was possible, insecticide applications were made in both PFP and CGP areas whenever the economic threshold level of 20% of the plants reached a Davis scale of three or above. With a low damage incidence in the PFP plots, frequent insecticide applications were not required compared with CGP areas. On average, the farmers participating in the PFP areas sprayed only once in the season compared to two to eight applications in CGP plots, thus reducing the economic and exposure challenges of insecticide applications.
CONCLUSION
An alternative, practical, and adaptable technology is needed to manage FAW and reduce the dependence on synthetic insecticides. Pheromone- mediated mating disruption is an alternative to insecticide application. Research conducted from these 16 locations across Indonesia and Thailand in multiple seasons supports the proposition that fields with mating disruption dispensers incurred lower FAW damage with fewer insecticide applications than current conventional practices. The results suggest that mating disruption offers farmers a more effective means of control than the current management practices. Pheromone-based insect pest management has zero residues and is nondetrimental to humans and the environment. This work in Indonesia and Thailand suggests that it is a sufficiently robust technology that can be extended to other countries to manage FAW.
References
- Carde R.T.. Area-Wide Integrated Pest Management: Development and Field Application. CRC Press: CRC Press; 2021:779-794. DOI
- Chaireunkaew D., Rakkrai C., Chaovalit S., Rukkasikorn A., Chomdate T., Paechaisri P., Pongmee A.. Survey on the outbreak of fall armyworm, Spodoptera frugiperda (JE Smith, 1797. Thai Agricultural Research Journal. 2022; 40:72-80.
- Cork A., Souza K., Krishnaiah K., DVSSR Kumar, Reddy A.A., Casagrande E.. Control of yellow stem borer, Scirpophaga incertulas (Lepidoptera: Pyralidae) by mating disruption on rice in India: effect of unnatural pheromone blends and application time on efficacy. Bulletin of Entomological Research. 1996; 86:515-524. DOI
- Cork A., Souza K., Hall D.R., Jones O.T., Krishnaiah K., Zainullabuddin S.. Development of PVC-resin controlled release formulation for pheromones and use in the control of yellow rice stem borer, Scirpophaga incertulas. Crop Protection. 2008; 27:248-255. DOI
- Davis F.M., Ng S.S., Williams W.P.. Visual rating scales for screening whorl-stage corn for resistance to fall armyworm. Technical Bulletin (Mississippi Agricultural and Forestry Experiment Station. 1992; 186:1-9.
- Groote HSC Kimenju, B Munyua, S Palmas, M Kassie, A Bruce. Spread and impact of fall armyworm (Spodoptera frugiperda JE Smith) in maize production areas of Kenya. Agriculture, Ecosystems & Environment. 2020; 292(106804)DOI
- Dharmayanthi A.B., Subagyo V.N.O., Nugraha R.T.P., Rahmini Rahmadi, C Darmawan, Sutrisno H.. Genetic characteristics and strain types of the invasive fall armyworm Spodoptera frugiperda. 2022. DOI
- Ge S., Sun X., He W., Wyckhuys A.G., He L., Zhao S., Zhang H., Wu K.. Potential trade-offs between reproduction and migratory flight in Spodoptera frugiperda. Journal of Insect Physiology. 2021; 132(104248)DOI
- Gutiérrez-Moreno R., Mota-Sanchez D., Blanco C.A., Whalon M.E., H Terán-Santofi-, Rodriguez-Maciel J.C., DiFonzo C.. Field-evolved resistance of the fall armyworm (Lepidoptera: Noctuidae) to synthetic insecticides in Puerto Rico and Mexico. Journal of Economic Entomology. 2019; 112:792-802. DOI
- Harrison F.P.. The development of an economic injury level for low populations of fall armyworm (Lepidoptera: Noctuidae) in grain corn. Florida Entomologist. 1984; 67:335-339. DOI
- Herlinda S., Suharjo R., Sinaga M.E., Fawwazi F., Suwandi S.. First report of occurrence of corn and rice strains of fall armyworm, Spodoptera frugiperda in South Sumatra, Indonesia and its damage in maize. Journal of the Saudi Society of Agricultural Sciences. 2022; 21:412-419. DOI
- Holkenbrink C., Ding B., Wang H., Dam M., Petkevicius K., Kildegaard K.R., Wenning L., Sinkwitz C., Lorantfy B., Koutsoumpeli E., Franca L., Pires M., Bernardi C., Urrutia W., Mafra-Neto A., Ferreira B.S., Raptopoulos D., Konstantopoulou M., Christer L., Borodina I.. Production of moth sex pheromones for pest control by yeast fermentation. Metabolic Engineering. 2020; 62:312-321. DOI
- Huesing J.E., Prasanna B.M., McGrath D., Chinwada P., Jepson P., Capinera J.L.. Fall armyworm in Africa: a guide for integrated pest management. CIMMYT, CDMX: CIMMYT, CDMX; 2018:1-10.
- Hutasoit R.T., Kalqutny S.H., Widiarta I.N.. Spatial distribution pattern, bionomic, and demographic parameters of a new invasive species of armyworm Spodoptera frugiperda (Lepidoptera: Noctuidae) in maize of South Sumatera, Indonesia. Biodiversitas. 2020; 21:3576-3582. DOI
- Iqbal M., Marman M., Arintya F., Broms K., Clark T., Srigiriraju L.. Mating disruption technology: An innovative tool for managing yellow stem borer (Scirpophaga incertulas Walker) of rice in Indonesia. Jurnal Entomologi Indonesia. 2023; 20:129-140. DOI
- López-Urquídez G.A., Serrano M., Clark T., Armenta-Chavez R., Medina-López R., Molina-Cárdenas L., López-Orona C.A.. Biodiversity of insects in a maize agroecosystem under commercial production conditions with Spodoptera frugiperda mating disruption pheromones at Sinaloa. South Western Entomologist. 2023; 48:805-816. DOI
- Maharani Y., Puspitaningrum D., Istifadah N., Hidayat S., Ismail A.. Biology and life table of fall armyworm, Spodoptera frugiperda (J.E.Smith. 2021.
- McVeigh E.M., McVeigh L.J., Cavanagh G.G.. A technique for tethering females of Spodoptera littoralis (Biosduval. Bulletin of Entomological Research. 1983; 73:441-446. DOI
- Miller Gut, L.J.. Mating disruption for the 21st century: Matching technology with mechanism. Environmental Entomology. 2015; 44:427-453. DOI
- Mitchell E.R., McLaughlin Suppression of mating and oviposition by fall armyworm and mating by corn earworm in corn, using the air permeation technique. Journal of Economic Entomology. 1982; 75:270-274. DOI
- Muthukumar M., Kennedy J.S.. A review of the scientific literature on the use of reproductive pheromones in the management of Spodoptera frugiperda (Lepidopetera: Noctuidae. Journal of Entomological Science. 2021; 56:475-486. DOI
- Prasanna B.M., Huesing J.E., Peschke V.M., Eddy R.. CIMMYT: Mexico; 2021.
- Rizali A., PSDPS Oktaviyani, Doananda M., Linggani A.. Invasion of fall armyworm Spodoptera frugiperda, a new invasive pest, alters native herbivore attack intensity and natural enemy diversity. Biodiversitas. 2021; 22:3482-3488. DOI
- Rizvi S.A.H., George J., Reddy G.V.P., Zeng X., Guerrero A.. Latest developments in insect sex pheromone research, and its application in agricultural pest management. Insects. 2021; 12(484)DOI
- Russianzi W., Anwar R., Triwidodo H.. Biostatistics of fall armyworm Spodoptera frugiperda in maize plants in Bogor, West Java, Indonesia. Biodiversitas. 2021; 22:3463-3469. DOI
- Sarkowi F., Mokhtar A.. The fall armyworm (FAW) – Spodoptera frugiperda: A review on biology, life history, invasion, dispersion and control. Outlooks on Pest Management. 2021; 32:27-32.
- Sartiami D., Dadang Harahap, IS Kusumah, YM Anwar, R.. First record of fall armyworm (Spodoptera frugiperda) in Indonesia and its occurrence in three provinces. IOP Conference Series: Earth and Environmental Science. 2020; 468(012021)DOI
- Schirmer F.G., Favetti B.M., Clark T., Galvan T., Cordeiro E.M.G., Vivan L., Tran K., Broms K., Miranda R.. Supressão de acasalamentos e redução de danos de Spodoptera frugiperda. 2023. DOI
- Sharanabasappa D., Kalleshwaraswamy C.M., Asokan R.. First report of the fall armyworm, Spodoptera frugiperda (JE Smith. Pest Management in Horticultural Ecosystems. 2018; 24:23-29.
- Sparks A.N.. A Review of the Biology of the Fall Armyworm. The Florida Entomologist. 1979; 62:82-87. DOI
- Supartha I.W., Susila I.W., Sunari A.A.A.S., Mahaputra I.G., Yudha I.K.W., Wiradana P.A.. Damage characteristics and distribution patterns of invasive pest, Spodoptera frugiperda. 2021. DOI
- Tay W.K., Meagher R.L., Czepak C., Groot A.T.. Spodoptera frugiperda: Ecology, evolution, and management options of an invasive species. Annual Review of Entomology. 2023; 68:299-317.
- Inc The MathWorks. MATLAB version: 9.10.0 (R2021a. 2021. Publisher Full Text
- Trisyono Y.A., Suputa Aryuwandari, AEF Hartaman, M Jumari. Occurrence of heavy infestation by the fall armyworm Spodoptera frugiperda, a new alien invasive Pest, in Corn in Lampung, Indonesia. Jurnal Perlindungan Tanaman Indonesia. 2019; 23:1-5. DOI
- Vilarinho E.C., Fernandes O.A., Hunt T.E., Caizeta D.F.. Movement of Spodoptera frugiperda adults (Lepidoptera: Noctuidae) in maize in Brazil. The Florida Entomologist. 2011; 94:480-488. DOI
- Wampler K.M., Bui V., Rozzell D., Coelho P., Floruti A., Ondi L., Mehdi H., Eros G.. Synthesis of pheromones and related materials via olefin metathesis. Provivi Inc., US Patent. 2021; 11,155,505 B2
- Witzgall P., Kirsch P., Cork A.. Sex pheromones and their impact on pest management. Journal of Chemical Ecology. 2010; 36:80-100. DOI
Carde RT. 2021. Mating disruption with pheromones for control of moth pests in area-wide management programmes. In: Hendrichs J, Pereira R, Vreysen MJB (Eds.), Area-Wide Integrated Pest Management: Development and Field Application. pp. 779–794. Boca Raton: CRC Press. DOI: https://doi.org/10.1201/9781003169239-45.
Chaireunkaew D, Rakkrai C, Chaovalit S, Rukkasikorn A, Chomdate T, Paechaisri P, Pongmee A. 2022. Survey on the outbreak of fall armyworm, Spodoptera frugiperda (JE Smith, 1797) (Lepidoptera: Noctuidae) and their host plant preference tested in Thailand. Thai Agricultural Research Journal. 40:72–80.
Cork A, De Souza K, Krishnaiah K, Kumar DVSSR, Reddy AA, Casagrande E. 1996. Control of yellow stem borer, Scirpophaga incertulas (Lepidoptera: Pyralidae) by mating disruption on rice in India: effect of unnatural pheromone blends and application time on efficacy. Bulletin of Entomological Research. 86:515–524. DOI: https://doi.org/10.1017/S0007485300039304.
Cork A, De Souza K, Hall DR, Jones OT, Krishnaiah K, Zainullabuddin S. 2008. Development of PVC-resin controlled release formulation for pheromones and use in the control of yellow rice stem borer, Scirpophaga incertulas. Crop Protection. 27:248–255. DOI: https://doi.org/10.1016/j.cropro.2007.05.011.
Davis FM, Ng SS, Williams WP. 1992. Visual rating scales for screening whorl-stage corn for resistance to fall armyworm. Technical Bulletin (Mississippi Agricultural and Forestry Experiment Station). 186:1–9.
De Groote H, Kimenju SC, Munyua B, Palmas S, Kassie M, Bruce A. 2020. Spread and impact of fall armyworm (Spodoptera frugiperda JE Smith) in maize production areas of Kenya. Agriculture, Ecosystems & Environment. 292:106804. DOI: https://doi.org/10.1016/j.agee.2019.106804.
Dharmayanthi AB, Subagyo VNO, Nugraha RTP, Rahmini, Rahmadi C, Darmawan, Sutrisno H. 2022. Genetic characteristics and strain types of the invasive fall armyworm Spodoptera frugiperda (J. E. Smith) (Lepidoptera: Noctuidae) in Indonesia. Biodiversitas. 23:3928–3935. DOI: https://doi.org/10.13057/biodiv/d230809.
Ge S, Sun X, He W, Wyckhuys AG, He L, Zhao S, Zhang H, Wu K. 2021. Potential trade-offs between reproduction and migratory flight in Spodoptera frugiperda. Journal of Insect Physiology. 132:104248. DOI: https://doi.org/10.1016/j.jinsphys.2021.104248.
Gutiérrez-Moreno R, Mota-Sanchez D, Blanco CA, Whalon ME, Terán-Santofi- mio H, Rodriguez-Maciel JC, DiFonzo C. 2019. Field-evolved resistance of the fall armyworm (Lepidoptera: Noctuidae) to synthetic insecticides in Puerto Rico and Mexico. Journal of Economic Entomology. 112:792–802. DOI: https://doi.org/10.1093/jee/toy372.
Harrison FP. 1984. The development of an economic injury level for low populations of fall armyworm (Lepidoptera: Noctuidae) in grain corn. Florida Entomologist. 67:335–339. DOI: https://doi.org/10.2307/3494710.
Herlinda S, Suharjo R, Sinaga ME, Fawwazi F, Suwandi S. 2022. First report of occurrence of corn and rice strains of fall armyworm, Spodoptera frugiperda in South Sumatra, Indonesia and its damage in maize. Journal of the Saudi Society of Agricultural Sciences. 21:412–419. DOI: https://doi.org/10.1016/j.jssas.2021.11.003.
Holkenbrink C, Ding B, Wang H, Dam M, Petkevicius K, Kildegaard KR, Wenning L, Sinkwitz C, Lorantfy B, Koutsoumpeli E, Franca L, Pires M, Bernardi C, Urrutia W, Mafra-Neto A, Ferreira BS, Raptopoulos D, Konstantopoulou M, Christer L, Borodina I. 2020. Production of moth sex pheromones for pest control by yeast fermentation. Metabolic Engineering. 62:312–321. DOI: https://doi.org/10.1016/j.ymben.2020.10.001.
Huesing JE, Prasanna BM, McGrath D, Chinwada P, Jepson P, Capinera JL. 2018. Integrated pest management of fall armyworm in Africa: an introduction. In: Prasanna BM, Huesing JE, Eddy R, Peschke VM (Eds.) Fall armyworm in Africa: a guide for integrated pest management. 1st Ed. pp. 1–10. Mexico: CIMMYT, CDMX.
Hutasoit RT, Kalqutny SH, Widiarta IN. 2020. Spatial distribution pattern, bionomic, and demographic parameters of a new invasive species of armyworm Spodoptera frugiperda (Lepidoptera: Noctuidae) in maize of South Sumatera, Indonesia. Biodiversitas. 21:3576–3582. DOI: https://doi.org/10.13057/biodiv/d210821.
Iqbal M, Marman M, Arintya F, Broms K, Clark T, Srigiriraju L. 2023. Mating disruption technology: An innovative tool for managing yellow stem borer (Scirpophaga incertulas Walker) of rice in Indonesia. Jurnal Entomologi Indonesia. 20:129–140. DOI: https://doi.org/10.5994/jei.20.2.129.
López-Urquídez GA, Serrano M, Clark T, Armenta-Chavez R, Medina-López R, Molina-Cárdenas L, López-Orona CA. 2023. Biodiversity of insects in a maize agroecosystem under commercial production conditions with Spodoptera frugiperda mating disruption pheromones at Sinaloa. South Western Entomologist. 48:805–816. DOI: https://doi.org/10.3958/059.048.0405.
Maharani Y, Puspitaningrum D, Istifadah N, Hidayat S, Ismail A. 2021. Biology and life table of fall armyworm, Spodoptera frugiperda (J.E.Smith) (Lepidoptera: Noctuidae) on maize and rice. Serangga. 26:161–174.
McVeigh EM, McVeigh LJ, Cavanagh GG. 1983. A technique for tethering females of Spodoptera littoralis (Biosduval) (Lepidoptera: Noctuidae) to evaluate pheromone control methods. Bulletin of Entomological Research. 73:441–446. DOI: https://doi.org/10.1017/S0007485300009056.
Miller JR, Gut LJ. 2015. Mating disruption for the 21st century: Matching technology with mechanism. Environmental Entomology. 44:427–453. DOI: https://doi.org/10.1093/ee/nvv052.
Mitchell ER, McLaughlin JR. 1982. Suppression of mating and oviposition by fall armyworm and mating by corn earworm in corn, using the air permeation technique. Journal of Economic Entomology. 75:270–274. DOI: https://doi.org/10.1093/jee/75.2.270.
Muthukumar M, Kennedy JS. 2021. A review of the scientific literature on the use of reproductive pheromones in the management of Spodoptera frugiperda (Lepidopetera: Noctuidae). Journal of Entomological Science. 56:475–486. DOI: https://doi.org/10.18474/JES20-89.
Prasanna BM, Huesing JE, Peschke VM, Eddy R. 2021. Fall Armyworm in Asia: A Guide for Integrated Pest Management. Mexico: CIMMYT.
Rizali A, Oktaviyani PSDPS, Doananda M, Linggani A. 2021. Invasion of fall armyworm Spodoptera frugiperda, a new invasive pest, alters native herbivore attack intensity and natural enemy diversity. Biodiversitas. 22:3482–3488. DOI: https://doi.org/10.13057/biodiv/d220847.
Rizvi SAH, George J, Reddy GVP, Zeng X, Guerrero A. 2021. Latest developments in insect sex pheromone research, and its application in agricultural pest management. Insects. 12:484. DOI: https://doi.org/10.3390/insects12060484.
Russianzi W, Anwar R, Triwidodo H. 2021. Biostatistics of fall armyworm Spodoptera frugiperda in maize plants in Bogor, West Java, Indonesia. Biodiversitas. 22:3463–3469. DOI: https://doi.org/10.13057/biodiv/d220655.
Sarkowi F, Mokhtar A. 2021. The fall armyworm (FAW) – Spodoptera frugiperda: A review on biology, life history, invasion, dispersion and control. Outlooks on Pest Management. 32:27–32.
Sartiami D, Dadang, Harahap IS, Kusumah YM, Anwar R. 2020. First record of fall armyworm (Spodoptera frugiperda) in Indonesia and its occurrence in three provinces. IOP Conference Series: Earth and Environmental Science. 468:012021. DOI: https://doi.org/10.1088/1755-1315/468/1/012021.
Schirmer FG, Favetti BM, Clark T, Galvan T, Cordeiro EMG, Vivan L, Tran K, Broms K, Miranda R. 2023. Supressão de acasalamentos e redução de danos de Spodoptera frugiperda (J. E. Smith, 1797) no algodoeiro. Entomological Communications. 5:ec05026. DOI: https://doi.org/10.37486/2675-1305.ec05026.
Sharanabasappa D, Kalleshwaraswamy CM, Asokan R. 2018. First report of the fall armyworm, Spodoptera frugiperda (JE Smith) (Lepidoptera: Noctuidae), an alien invasive pest on maize in India. Pest Management in Horticultural Ecosystems. 24:23–29.
Sparks AN. 1979. A Review of the Biology of the Fall Armyworm. The Florida Entomologist. 62:82–87. DOI: https://doi.org/10.2307/3494083.
Supartha IW, Susila IW, Sunari AAAS, Mahaputra IG, Yudha IKW, Wiradana PA. 2021. Damage characteristics and distribution patterns of invasive pest, Spodoptera frugiperda (J. E Smith) (Lepidoptera: Noctuidae) on maize crop in Bali, Indonesia. Biodiversitas. 22:3378–3389. DOI: https://doi.org/10.13057/biodiv/d220645.
Tay WK, Meagher RL, Czepak C, Groot AT. 2023. Spodoptera frugiperda: Ecology, evolution, and management options of an invasive species. Annual Review of Entomology. 68:299–317.
The MathWorks Inc. 2021. MATLAB version: 9.10.0 (R2021a), Natick, Massachusetts: The MathWorks Inc. Available at: https://www.mathworks.com.
Trisyono YA, Suputa, Aryuwandari AEF, Hartaman M, Jumari. 2019. Occurrence of heavy infestation by the fall armyworm Spodoptera frugiperda, a new alien invasive Pest, in Corn in Lampung, Indonesia. Jurnal Perlindungan Tanaman Indonesia. 23:1–5. DOI: https://doi.org/10.22146/jpti.46455.
Vilarinho EC, Fernandes OA, Hunt TE, Caizeta DF. 2011. Movement of Spodoptera frugiperda adults (Lepidoptera: Noctuidae) in maize in Brazil. The Florida Entomologist. 94:480–488. DOI: https://doi.org/10.1653/024.094.0312.
Wampler KM, Bui V, Rozzell D, Coelho P, Floruti A, Ondi L, Mehdi H, Eros G. 2021. Synthesis of pheromones and related materials via olefin metathesis. Provivi Inc., US Patent No. 11,155,505 B2, United States of America.
Witzgall P, Kirsch P, Cork A. 2010. Sex pheromones and their impact on pest management. Journal of Chemical Ecology. 36:80–100. DOI: https://doi.org/10.1007/s10886-009-9737-y.
Copyright (c) 2024 Lakhsmipathi Srigiriraju, Kristin Broms, Mongkol Sripeangchan, Kankunlanach Khampuang, Riedha Ekalianna, Yulius Dika Ciptadi, Muhamad Iqbal, Khai Tran, Thomas Clark, Hamim Sudarsono, Peter Meinhold

This work is licensed under a Creative Commons Attribution 4.0 International License.
Authors who publish with this journal agree to the following terms:
- Authors retain copyright and grant the journal right of first publication with the work simultaneously licensed under a Creative Commons Attribution 4.0 International License that allows others to share the work with an acknowledgement of the work's authorship and initial publication in this journal.
- Authors are able to enter into separate, additional contractual arrangements for the non-exclusive distribution of the journal's published version of the work (e.g., post it to an institutional repository or publish it in a book), with an acknowledgement of its initial publication in this journal.
- Authors are permitted and encouraged to post their work online (e.g., in institutional repositories or on their website) prior to and during the submission process, as it can lead to productive exchanges, as well as earlier and greater citation of published work (See The Effect of Open Access).









