Temporal resource partitioning of the flight activities of three bee species in East Java
Pembagian sumber daya temporal dari aktivitas terbang tiga spesies lebah di Jawa Timur
The dwarf honey bee Apis florea Fabricius, was successful coexistence with larger bees, Apis cerana Fabricius and Apis dorsata Fabricius in Bangalore, India. However, there is a lack of A. florea foraging behavior that shared the same plant resources with A. cerana and stingless bee Tetragonula laeviceps (Smith) in Indonesia. This study investigated the foraging activities of two honey bee species (A. florea and A. cerana) and the stingless bee T. laeviceps, which live sympatrically and also seek environmental factors that influence the foraging behavior of bees. The flight activity was recorded on the bee farm at Jombang Regency, East Java Province, from 06.00–16.00 hours for three consecutive days. Environmental factors of temperature, humidity, and light intensity in open and close to the nest areas were recorded. This study reported that A. florea started foraging activity at 09.00, while A. cerana and T. laeviceps started to forage earlier, at 06.00 in the morning. Therefore, the foraging activities of bees in East Java, revealed temporal resource partitioning, which confirmed the results of a previous study in Bangalore. The temperature and humidity mainly influenced the foraging activity of the three bee species (P<0,001). Temporal resource partitioning in A. florea suggests a foraging strategy that coexists with sympatric honeybees and stingless bees. The high flight activity of A. florea at midday suggests that this species can adapt to high temperatures. This result implies that A. florea could be a potential future pollinator in tropical regions facing the issue of a warming climate.
Downloads
INTRODUCTION
Bees are important pollinator insects for wild plants, such as bushes, small trees, and herbaceous plants, and are the best pollinators of crop plants (Michener, 2000). The native honey bees in Indonesia, Apis dorsata Fabricius, A. cerana Fabricius, A. andreniformis Smith, and the stingless bee Tetragonula laeviceps (Smith) are known as dominant pollinators in agriculture (Siregar et al., 2016). Apis cerana is a natural pollinator of crop plants such as tomato (Solanum lycopersicum L.) (Putra & Kinasih, 2013), physic nut (Jatropha curcas L.) (Atmowidi et al., 2008), field mustard (Brassica rapa L.) (Atmowidi et al., 2007), and cucumber (Cucumis sativus L.) (Chauhan & Singh, 2022).
In Indonesia, A. cerana is a popular honeybee species in beekeeping (Buchori et al., 2022). This eastern honey bee is well distributed in almost all Asian regions with various habitats ranging from highly humid forests to dry savannahs (Hepburn & Radloff, 2011).(Radloff et al., 2010) summarized that A. cerana is distributed from Afghanistan to the north in Russia, to the East in China and Japan, and the bees spread to South and Southeast Asia up to Indonesia and Timor. The subspecies of A. cerana javana (Engel, 1999) is distributed from Java to Timor. Apis cerana is distributed across the Indonesian archipelago and shows high genetic diversity, whereas in some areas, such as Mollucas Island, West Papua (Raffiudin et al., 2022), and Sumatera (Simanjuntak et al., 2024), this species is distributed from Java through anthropogenic activity.
Another potential natural wild honey bee pollinator is the red dwarf honey bee A. florea. This honey bees pollinate crops in India, including carrots (Abrol, 2006)and onions (Abrol, 2010). Apis florea and A. cerana are sympatric species on Java (Ruttner, 1988). Apis florea was found in Tanjung Priok and Ancol Harbor, Jakarta (Maa, 1953), whereas in East Java, this dwarf honey bee was found on a ship in Surabaya (Otis, 1996), presumably carried by human transport(Hepburn & Hepburn, 2005). Originally, A. florea was native to South Asia, including India, Pakistan, and Southeast Asia in Cambodia, Myanmar, and Thailand (Otis, 1996). However, the hypothesis that A. florea was introduced into Indonesia (Otis, 1996);(Engel, 2012) has not been proven.
Besides honeybees, stingless bees are also favorable for beekeepers in Indonesia because they are easy to handle (Kahono et al., 2018). Indonesia has 46 stingless bee species (Engel et al., 2019), and a recent study showed that the number of stingless bee species in Indonesia has reached 52 species (Purwanto et al., 2022). Tetragonula laeviceps is the most commonly chosen stingless bee by beekeepers in Indonesia (Syafrizal et al., 2020);(Hanifa et al., 2021).
In urban areas, the foragers of T. laeviceps stingless bees have the flower consistency needed for cross-pollination (Atmowidi et al., 2022). This species is a potential pollinator of the rubber tree Hevea brasiliensis (Ramadani et al., 2021);(Pulungan et al., 2023) and several families of medicinal plants (Prasetyo et al., 2022). Furthermore, T. laeviceps can improve fruit formation in strawberries (Fragaria x annanassa) (Atmowidi et al., 2022) and Mauritius raspberry (Rubus rosifolius) (Putra et al., 2024).
Information on foraging activity is needed to better understand the potential of pollination services for sympatric honey bees. Based on body size, A. florea is the smallest Apis species and is inferior to the larger honey bee, A. cerana (Oldroyd et al., 1992). In the same foraging area, A. cerana started to forage in the early morning and A. florea started foraging activity in the late morning. Thus, it showed time partitioning strategies between sympatric honey bees (Young et al., 2021). However, the information on A. florea’s existence, distribution, and foraging behavior of A. florea in Java are yet to be explored. Therefore, we investigated the foraging activities of A. florea, A. cerana, and T. laeviceps in the same beekeeping farm area in Jombang Regency, East Java. We also aimed to identify the environmental factors that influence bee foraging behavior.
MATERIAL AND METHOD
Study sites and bee colonies
This study was conducted at a beekeeping farm in Sumbernongko Village, Ngusikan District, Jombang Regency, East Java Province, Indonesia, in July 2023 (Figure 1). The study site was located in a rural lowland area (35–40 m above mean sea level) with dominant plants of Calliandra calothyrsus (Calliandra), Tectona grandis (teak), and Bambusa sp. (bamboo) (Figure 2). Each colony of A. florea, A. cerana, and stingless bees (T. laeviceps) is located in one habitat of a rural garden. The A. florea colony was located between A. cerana and T. laeviceps. The distance between A. florea and A. cerana was close to 52.2 m, which was similar to the distance between A. florea and T. laeviceps at 31.3 m (Table 1). Based on the information from the beekeeper, the colony of A. florea originated from the Lamongan Regency and was successfully established for two years in the Jombang studied area. Therefore, A. florea has adapted to plant resources, as well as to other sympatric bee species.
Observation of the flight activities of the bees
Flight activity was observed in each colony of A. florea, A. cerana, and T. laeviceps for three consecutive days from 1 st to 3 rd July 2023. Three types of flight activities were observed: (1) the number of bees flying out of the nest (FO), (2) the number of bees returning to the nest without pollen (RWoP), and (3) the number of bees returning to the nest with pollen (RWP)(Raffiudin et al., 2022). The flight activity was observed by the direct method in 10 minutes with 10-minute intervals, starting from to 06.00–16.00, and the video of the flight activity was recorded (Pierrot & Schlindwein, 2003). The number of FO, RWP, and RWoP bees was counted using a hand counter. RWP bees are known to carry bee pollen in the pollen basket. a thermo hygrometer, and the light intensity was measured using a lux meter.
Figure 1.The landscape map of Sumbernongko Village, Jombang Regency, showing Apis florea, Apis cerana, and Tetragonula laeviceps colony location in one habitat.
Figure 2.The study site is a farm with the dominant plant of Calliandra calothyrsus in the South (A) and North (B) area, Tectona grandis in the West (C) area, and Bombusa sp. in the East (D) area.
Species |
Nest distance from Apis florea | Coordinates | Sample code |
|---|---|---|---|
Apis florea |
- | -7°24’51.388”S 112°19’25.992”E |
Af1.Sbn_JMB |
Apis cerana |
52,2 | -7°24’51.221”S 112°19’28.037”E |
Ac1.Sbn_JMB |
Tetragonola laeviceps |
31,3 | -7°24’52.406”S 112°19’25.951”E |
Tl1.Sbn_JMB |
Environmental parameter measurement
To understand the effect of environmental factors on bee flight activity, environmental parameters, including open area light intensity (lux), close to the nest or bee hive light intensity (lux), humidity (%), and temperature (°C) were recorded every 10 min during the interval time (Raffiudin et al., 2022). The open area light intensity was measured in the open middle area of the research station, whereas humidity, temperature, and close to the nest/hive light intensity were measured in the near area around 1 m of each bee colony. The temperature and humidity were measured using a thermo hygrometer, and the light intensity was measured using a lux meter.
Data analysis
The graphs of the mean bee’s number of flight activities every hour were constructed to show each bee’s daily flight activity pattern. General linear models (GLM) with a Gaussian distribution performed using R(Team, 2020) were used to determine the effect of light intensity both in the open area and close to the nest, humidity, and temperature on FO, RWP, and RWoP activity of A. florea, A. cerana, and T. laeviceps. The average number of bees in flight activity every hour was correlated with environmental factors to investigate the pattern of honey bee flight activity under the influence of environmental factors.
RESULTS
The flight activity of A. florea, A. cerana, and T. laeviceps
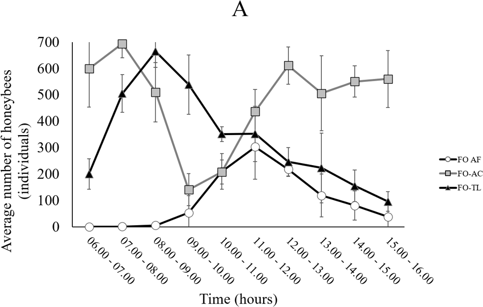
Among all bee species, A. florea showed the lowest number of flight activities (Figure 3), with a single noon peak at 11.00–1200. The highest numbers of A. florea for FO, RWP, and RWoP activity were 303, 61, and 238, respectively. Apis florea started flight activities later than the other two bee species. We observed no A. florea in the early morning. The bees started flight activity at 09.00 and peaked at noon 12.00. Subsequently, the flight of this dwarf honey bee decreased to 13.00 and ended at 16.00.
The flight observation showed that the 06.00-morning forage of A. cerana and T. laeviceps occurred much earlier than A. florea. Tetragonula laeviceps also had a single morning peak for all flight activities from 08.00 to 09.00, with the highest numbers of FO, RWP, and RWoP bees being 665, 267, and 242, respectively. The stingless bee T. laeviceps increased its flight activity from 06.00 to 09.00 and decreased from 10.00 to 16.00. The lowest number of individual activities of T. laeviceps was recorded for FO, RWP, and RWoP, at 96, 28, and 70, respectively.
However, A. cerana has two peaks in the morning, 07.00–08.00 and noon, 12.00–13.00, which differs from other bees. The first peak fly activity of A. cerana revealed the number of bees of FO, RWP, and RWoP consecutively at 695, 614, and 306, respectively, while for the second peak consecutive, 612, 258, and 398, respectively.
A different flight activity pattern was observed in A. cerana; at 06.00, the flight activity was high and peaked until 08.00, then decreased until 10.00, with 141, 63, and 117 individuals, respectively. Apis cerana performed at a second peak of 13.00 and started to decease from 14.00 to 16.00.
Figure 3.The average number and standar deviation of flight activities of the sympatric Apis florea, A. cerana, and Tetragonula laeviceps in Jombang District, Province of East Java. A: FO = flying out; B: RWP = returning with pollen; C: RWoP = returning without pollen, AF = A. florea; AC = A. cerana; TL = T. laeviceps.
Environmental factors influence the flight activity pattern of honey bees and stingless bees.
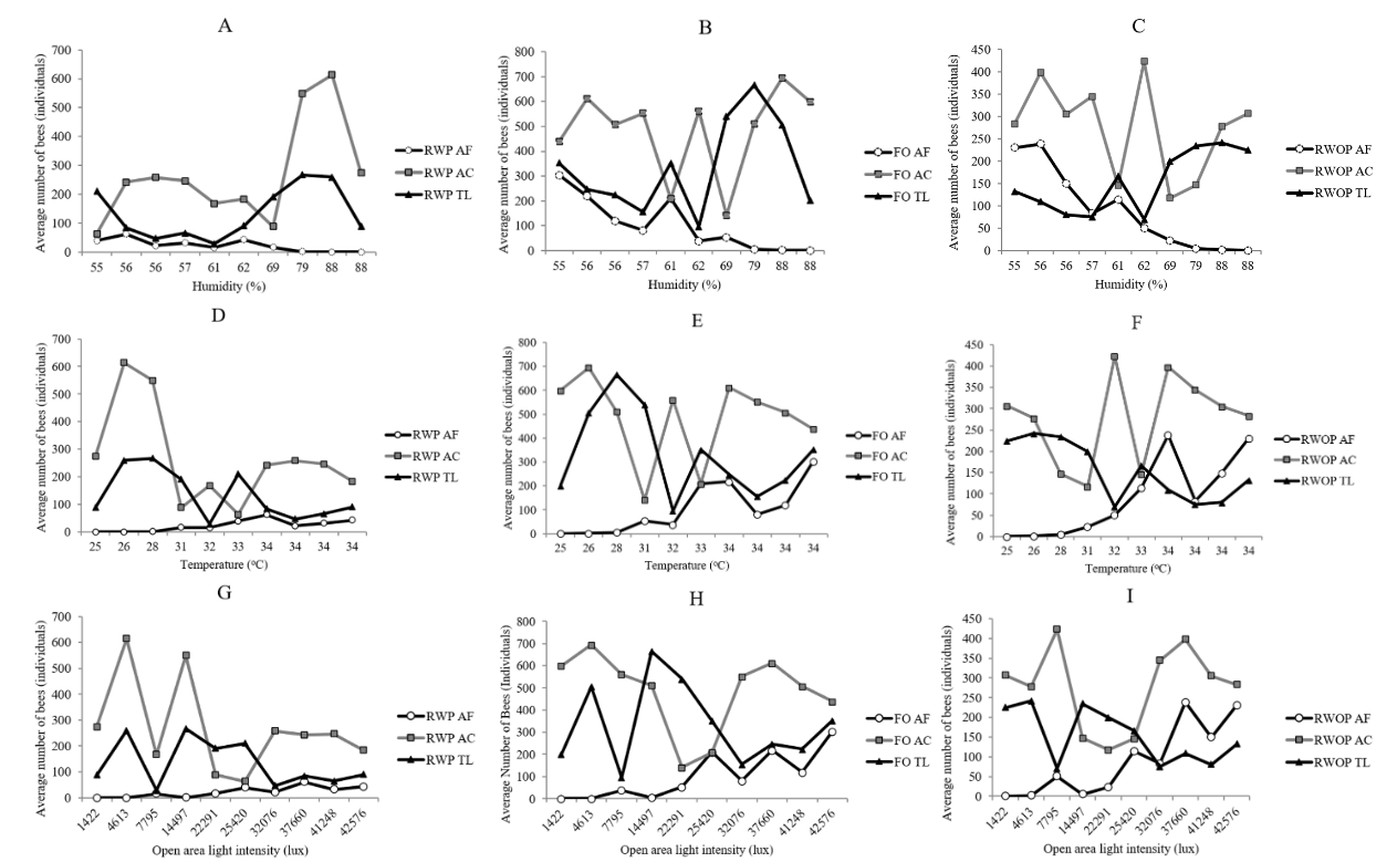
The environmental factors of humidity, temperature, and closed to the nest light intensity and open area light intensity fluctuated during the three observation days Figure 4 All flight activities of A. florea were more influenced by humidity recorded near the nest than those of the other honey bees (Figure 5A–C). The flight of this dwarf honey bee was in the range of 55–67% humidity. When the humidity was higher than 79%, the flight of A. florea significantly decreased, while the flight of A. cerana and T. laeviceps were started to decrease when the humidity higher than 88%.
Temperature close to the nest or hive of the bees had a different impact on flight activity; a higher temperature at the start of fly activity was observed in A. florea compared to other species (Figure 5D–F). At a temperature of 25 o C, A. cerana and T. laeviceps were active; however, we found that A. florea starting their flight temperature was six degrees higher (31 o C) than sympatric bees. Among all bees, only A. florea increased flight activity by the increasing open-area light intensity, while no pattern was observed for the other bees see (Figure 5G–I). The flight activities of bees showed the same pattern for closed to nest light intensity (Figure 6).
The GLM analysis showed different correlations between flight activity and environmental factors for the three species (Table 2.) The FO flight activity of A. cerana was affected by temperature (P < 0.01) (Table 2). RWP was highly affected (P < 0.001) by all environmental factors. In contrast, the RWoP of A. cerana was not affected by any environmental factor (P < 0.1; P > 0.1) (Table 2). Tetragonula laeviceps showed mostly the same activity as A. cerana. The FO was affected by temperature and humidity (P < 0.001). In contrast, none of the environmental factors affected the RWoP of T. laeviceps. However, all activity records for A. florea were affected by all environmental factors (P < 0.001) (Table 2).
Figure 4.The abiotic factor measured in the location closed to the nest (A–C: humidity; D–F: temperature), and middle area of research station (G–I: open area light intensity) that affected flight activity of three bee species. AC: Apis cerana; AF: Apis florea; TL: Tetragonula laeviceps.
Figure 5.The abiotic factor measured in the location closed to the nest (A–C: humidity; D–F: temperature), and middle area of research station (G–I: open area light intensity) that affected flight activity of three bee species. AC: Apis cerana; AF: Apis florea; TL: Tetragonula laeviceps.
Figure 6.The light intensity measured in the location close to the nest of Apis florea or hive of A. cerana and Tetragonula laeviceps affected flight activity in those three bee species (A: A. florea;B:A. cerana;and C: T. laeviceps).
Species |
Activity |
Temperature |
Humidity |
Open area light intensity |
Closed to the nest light intensity |
||||
|---|---|---|---|---|---|---|---|---|---|
Estimate |
P |
Estimate |
P |
Estimate |
P |
Estimate |
P | ||
AF - JMB |
FO |
21.481 |
<0.001 |
-5.5496 |
<0.001 | 0.0047195 |
<0.001 |
0.1428 |
<0.001 |
RWP |
4.689 |
<0.001 |
1.2129 |
<0.001 | 0.0011969 |
<0.001 |
0.045703 |
<0.001 |
|
RWoP |
19.432 |
<0.001 |
-5.0656 |
<0.001 | 0.0042816 |
<0.001 |
0.16816 |
<0.001 |
|
AC - JMB |
FO |
-17.242 |
<0.01 | 3.305 |
<0.05 |
-0.002888 |
<0.05 |
0.006112 |
<0.1 |
RWP |
-32.003 |
<0.001 |
8.158 |
<0.001 | 0.004919 |
<0.001 |
-0.01169 |
<0.01 | |
RWoP |
5.781 |
>0.1 | -1.994 |
<0.1 |
0.0005350 |
>0.1 |
0.002638 |
>0.1 | |
TL - JMB |
FO |
-20.829 |
<0.001 |
6.815 |
<0.001 | -0.002000 |
>0.1 |
-0.1934 |
>0.1 |
RWP |
-13.263 |
<0.001 |
4.6676 |
<0.001 | -0.002240 |
>0.01 |
-0.1593 |
<0.05 | |
RWoP |
0.237 |
>0.1 | 0.9101 |
>0.1 |
0.001429 |
>0.1 |
0.1362 |
>0.1 | |
DISCUSSION
The flight activity pattern shows the time partitioning strategy between A. florea, A. cerana, and T. laeviceps. Based on observations of these three sympatric species, a general pattern of daily foraging activity showed that A. cerana was highly foraged in the early morning between 07.00–08.00 and 08.00–09.00 hours for T. laeviceps. In contrast, at 09.00 A. florea began to forage. This pattern is consistent with (Young et al., 2021), who stated that A. cerana starts to fly at 07.00, and the highest is at 08.00 to 09.00 hours, while A. florea begins to fly later at 09.00 or 10.00 hours and increases at noon. This phenomenon revealed the temporal partitioning of A. florea with those of A. cerana and T. laeviceps; the former increased the number of flights during the day, while A. cerana and T. laeviceps slightly decreased their flight activities. Our study confirmed that A. florea performed temporal resource partitioning during their foraging activity when the colonies of A. florea were similar to other species of honey bees, as shown by(Young et al., 2021), who sympatric with A. cerana and A. dorsata.
Apis florea in Yunnan, China, also showed a short flight activity period of only 2–4 hours during midday and 6 hours at maximum (Cui & Corlett, 2016). The high flight activity of A. florea during midday could be facilitated by its small body size, which can adapt to high temperatures. The small body-sized insects showed low body heat loss during flight; thus, they rarely overheated (Digby, 1955). Small stingless bees lose and warm up their body temperature more rapidly than large stingless bees(Pereboom & Biesmeijer, 2003) because of their larger body surface size per unit weight compared to other bees (Hill et al., 2012). The smaller body size of bees is also favorable because they require less power for flight (Grula et al., 2021). On the other hand, (Young et al., 2021) explained that A. cerana in Bangalore, India, decreased flights during midday might be due to the high temperature. Therefore, A. cerana was optimized by their high foraging activity in the morning due to the abundance of nectar resources. The decreasing activity of A. cerana at midday is similar to A. dorsata in Serdang, Selangor, Malaysia, which might also be a result of heat stress (Mardan & Kevan, 2002). Thus, our findings clearly showed that A. florea could adapt more to high-temperature environments than A. cerana. This ability is advantageous for A. florea to actively forage during midday, although nectar sources are limited. This dwarf red honey bee can also coexist with another bee that actively forages in the morning.
Similar to A. cerana, the flight activity of stingless bees was high in the morning and decreased during the day. This result is supported by the flight activity of T. laeviceps in Jambi, Sumatera (Pulungan et al., 2023), and Bogor, West Java(Prasetyo et al., 2022) that showed high flight activity in the morning from 08.00 to 10.00 and decrease during midday. In another study, the abundance of A. cerana and T. iridipennis (Smith) showed peak activity in the 10.00–12.00 middle of the day (Danaraddi, 2007), while in Kerala, India, T. iridipennis peak foraging activity is in the morning and afternoon (Mythri et al., 2023). The similarity in flight activity patterns between A. cerana and T. laeviceps might lead to interspecific competition, showing that stingless bees have a lower foraging index than honey bees (O & MP, 2007).
The foraging activities of the three bee species are influenced mainly by temperature and humidity. In the present study, the flight activities of FO and RWP in A. cerana were significantly influenced by light intensity, humidity, and temperature. During flight, the thorax temperature required by A. cerana should be above 27 °C, while the body temperature limit of A. cerana is 45–50 °C (Abrol, 2013), or up to 55 °C (Li et al., 2019). High tolerance to temperate climates facilitates the wide distribution of A. cerana (Abrol, 2020).
However, the flying activity of T. laeviceps is influenced more by temperature and humidity than by open and closed to the nest light intensity. This might be due to the foraging of stingless bees being assisted by pheromone trails, which differs from solar compass navigation in honey bees (Hrncir & Maia-Silva, 2013).
The daytime flight activity of A. florea occurred as the temperature and light intensity increased and was significantly influenced by temperature and humidity (Table 2). Visiting A. florea on flowering plants in the highlands of Yunan Province, China, has a positive relationship with air temperature (Cui & Corlett, 2016) and agrees with the midday activity of this dwarf honey bee (Young et al., 2021). Apis florea has a higher minimum and maximum temperature threshold, i.e.16–46,5 °C, compared to 7–41,5 °C of A. cerana (Cui & Corlett, 2016).
Our main finding of the high flight activity of A. florea during the increasing temperature of the day showed the adaptation of the bees to the higher temperature compared to other sympatric bee species. Thus, our results imply that A. florea is a potential pollinator under warming climate conditions. Attention to climate change can lead to a decrease in natural pollinators. Moreover, the production of pollinator dependent crops (Reilly et al., 2020) is affected by homogenous and fragmented landscapes (Vasiliev & Greenwood, 2021).
CONCLUSION
The sympatrics of honey bee A. florea and A. cerana and stingless bee T. laeviceps have unique foraging activities that can be used for resource partitioning. Apis florea showed midday foraging activity compared to early morning foraging A. cerana and T. laeviceps. The different activities of the three bee species were also influenced by temperature and humidity. Thus, A. florea can forage at a higher temperature than other bees. This partitioning foraging strategy showed the adaptation of A. florea to high temperatures, which might be potential pollinators in warming climate conditions.
References
- Abrol D.P.. Factors influencing flight activity of Apis florea f, an important pollinator of Daucus carota L. Journal of Apicultural Research. 2006; 45:2-6. DOI
- Abrol D.P.. Foraging behaviour of Apis florea F., an important pollinator of Allium cepa L. Journal of Apicultural Research. 2010; 49:318-325. DOI
- Abrol D.P.. Asiatic Honeybee Apis cerana. Asiatic Honeybee Apis cerana. 2013. DOI
- Abrol D.P.. The Future Role of Dwarf Honeybees in Natural and Agricultural Systems. 2020. DOI
- Atmowidi T., Buchori D., Manuwoto S., Suryobroto B., Hidayat P.. Diversity of pollinator insects in relation to seed set of Mustard (Brassica rapa L.: Cruciferae. HAYATI Journal of Biosciences. 2007; 14:155-161. DOI
- Atmowidi T., Canta L., Hasibuan S.S., Wayan Sri Utari N., Dorly D., Prawasti T.S.. The pollen load on stingless bees (Apidae: Meliponinae) foraged in urban area. Acta Universitatis Agriculturae et Silviculturae Mendelianae Brunensis. 2022; 70:227-233. DOI
- Atmowidi T., Riyanti P., Sutrisna A.. Pollination effectiveness of Apis cerana Fabricus and Apis mellifera Linnaeus (Hymenoptera: Apidae. The Southeast Asian Journal of Tropical Biology. 2008; 15:129-134. DOI
- Atmowidi T., Taruni S.P., Rianti P., Prasojo Fikrunnia A., Nalendra B.P.. Stingless bees pollination increases fruit formation of strawberry (Fragaria x annanassa Duch) and Melon (Cucumis melo L. Tropical Life Sciences Research. 2022; 33:43-54. DOI
- Buchori D., Rizali A., Priawandiputra W., Raffiudin R., Sartiami D., Pujiastuti Y., Jauharlina Pradana, MG Meilin, A Leatemia, JA Sudiarta, IP Rustam, R Nelly, N Lestari, P Syahputra, E Hasriyanti, Watung J.F., Daud I.D.A., Hariani N., Jihadi A., Johannis M.. Beekeeping and managed bee diversity in Indonesia: Perspective and preference of beekeepers. Diversity. 2022; 14(52)DOI
- Chauhan A., Singh H.K.. Stingless bee Tetragonula iridipennis and honey bee Apis cerana pollination in Cucumber. Indian Journal of Entomology. 2022;546-550. DOI
- Cui Q., Corlett R.T.. Seasonal and diurnal patterns of activity in honeybees (Apis spp.) on the northern edge of the Asian tropics; their implications for the climate-change resilience of pollination. Tropical Conservation Science. 2016; 9(1940082916667142)DOI
- Danaraddi C.S.. Studies on stingless bee, Trigona iridipennis Smith with special reference to foraging behaviour and melissopalynology at Dharwad, Karnataka. 2007.
- Digby P.S.. Factors affecting the temperature excess of insects in sunshine. Journal of Experimental Biology. 1955; 32:279-298. DOI
- Engel M.S.. The taxonomy of recent and fossil honey bees (Hymenoptera: Apidae. Apis). Journal of Hymenoptera Research. 1999; 8:165-196.
- Engel M.S.. The honey bees of Indonesia (Hymenoptera: Apidae. TREUBIA. 2012; 39:41-49.
- Engel M.S., Kahono S., Peggie D.. A key to the genera and subgenera of stingless bees in Indonesia (Hymenoptera: Apidae. TREUBIA. 2019; 45:65-84. DOI
- O Fidalgo A., MP Kleinert A.. Foraging behavior of Melipona rufiventris Lepeletier (Apinae; Meliponini) in Ubatuba, SP, Brazil. Brazilian Journal of Biology. 2007; 67:133-140. DOI
- Grula C.C., Rinehart J.P., Greenlee K.J., Bowsher J.H.. Body size allometry impacts flight-related morphology and metabolic rates in the solitary bee Megachile rotundata. Journal of Insect Physiology. 2021; 133(104275)DOI
- Hanifa H.S., Sartiami D., Priawandiputra W., Buchori D.. Characteristics of apiculture and meliponiculture in Banten Province, Indonesia: Profile of beekeepers, bee and pollen diversity. IOP Conference Series: Earth and Environmental Science. 2021; 948(012050)DOI
- Hepburn H.R., Hepburn C.. Bibliography of Apis florea. Apidologie. 2005; 36:377-378. DOI
- Hepburn H.R., Radloff S.E.. Biogeography of the dwarf honeybees, Apis andreniformis, and Apis florea. Apidologie. 2011; 42:293-300. DOI
- Hill R.W., Wyse G.A., Anderson M.. Animal Physiology. 2012. Publisher Full Text
- Hrncir M., Maia-Silva C.. Pot-Honey: A Legacy of Stingless Bees. Springer: Springer; 2013:201-215. DOI
- Kahono S., Chantawannakul P., Engel M.S.. Asian Beekeeping in The 21st Century. Springer: Springer; 2018:287-306. DOI
- Li X., Ma W., Shen J., Long D., Feng Y., Su W., Xu K., Du Y., Jiang Y.. Tolerance and response of two honeybee species Apis cerana and Apis mellifera to high temperature and relative humidity. PLOS ONE. 2019; 14:e0217921DOI
- Maa T.. An inquiry into the systematics of the tribus Apidini or honey bees (Hymenoptera. TREUBIA. 1953; 21:525-639.
- Mardan M., Kevan P.G.. Critical temperatures for survival of brood and adult workers of the giant honeybee, Apis dorsata (Hymenoptera: Apidae. Apidologie. 2002; 33:295-301. DOI
- Michener C.D.. The Johns Hopkins University Press: Maryland; 2000.
- Mythri P.G., Kencharaddi R.N., Venukumar S., Hanumantharaya L., Shivaprasad M., Hosagoudar G.N.. Foraging behavior of stingless bee, Tetragonula iridipennis (Smith. Journal of Experimental Zoology India. 2023; 26:461-466. DOI
- Oldroyd B., Rinderer T., Wongsiri S.. Pollen resource partitioning by Apis dorsata. Journal of Apicultural Research. 1992; 31:3-7. DOI
- Otis G.W.. Distributions of recently recognized species of honey bees (Hymenoptera: Apidae; Apis) in. Journal of the Kansas Entomological Society. 1996; 69:311-333.
- Pereboom J.J.M., Biesmeijer J.C.. Thermal constraints for stingless bee foragers: the importance of body size and coloration. Oecologia. 2003; 137:42-50. DOI
- Pierrot L.M., Schlindwein C.. Variation in daily flight activity and foraging patterns in colonies of uruçu-Melipona scutellaris Latreille (Apidae, Meliponini. Revista Brasileira de Zoologia. 2003; 20:565-571. DOI
- Prasetyo A., Raffiudin R., Batubara I., Ariyanti N.S.. Perilaku mencari polen dan identifikasi polen Tetragonula laeviceps pada dua Kebun Tanaman Obat. Jurnal Ilmu Pertanian Indonesia. 2022; 27:341-350. DOI
- Pulungan Z.N., Priawandiputra W., Grass I., Li K., Robo R.J., Raffiudin R.. Tropical lowland rainforest conversion to rubber monoculture affects flight activity and pollen resources of the stingless bees Tetragonula laeviceps. Jurnal Entomologi Indonesia. 2023; 20:88-100. DOI
- Purwanto H., Soesilohadi R.C.H., Trianto M.. Stingless bees from meliponiculture in South Kalimantan, Indonesia. Biodiversitas. 2022; 23:1254-1266. DOI
- Putra R.E., Kinasih I.. Efficiency of local Indonesia honey bees (Apis cerana L.) and stingless bee (Trigona iridipennis) on tomato (Lycopersicon esculentum Mill.) pollination. Pakistan Journal of Biological Sciences. 2013; 17:86-91. DOI
- Putra R., Dewangga R.T., Hermawan E., Kinasih I., Raffiudin R., H Soesilohadi R., Purnobasuki H.. Comparing effectiveness of hand pollination, wild insects and local stingless bees (Tetragonula laeviceps) for pollination of exotic Mauritius raspberry (Rubus rosifolius. HAYATI Journal of Biosciences. 2024; 31:1050-1060. DOI
- Team R.Core. R: A Language and Environment for Statistical Computing. 2020. Publisher Full Text
- Radloff S.E., Hepburn C., Randall Hepburn H., Fuchs S., Hadisoesilo S., Tan K., Engel M.S., Kuznetsov V.. Population structure and classification of Apis cerana. Apidologie. 2010; 41:589-601. DOI
- Raffiudin R., Ariyanti Aprilianingrum, I Anwar, H Shullia, NI Bening, S Wiyati, SY Priawandiputra, W Saleh, S Suardi, Fahri F., Putra R.E., Soesilohadi R.C.H., Purnobasuki H.. Flight activity and pollen resources of Apis nigrocincta and Apis cerana in Central Sulawesi, Indonesia. Agriculture and Natural Resources. 2022; 56:463-472. DOI
- Raffiudin R., Shullia N.I., Damayanti A.U., Wahyudi D.T., Febiriani T.V., Atmowidi T., Lamerkabel J.S.A., Widjaja M.C.. New haplotypes of Apis cerana in Indonesia: Identification from mitochondrial and major royal jelly protein 2 genes. International Journal of Tropical Insect Science. 2022; 42:389-401. DOI
- Ramadani R.F., Raffiudin R., Ariyanti N., Biagioni S., Treanore E., Behling H.. Stingless bee foraging behavior and pollen resource use in oil palm and rubber plantations in Sumatra. Jurnal Entomologi Indonesia. 2021; 18:81-92. DOI
- Reilly Artz D.R., Biddinger D., Boyle Bobiwash K., NK Brittain, C Brokaw, J Campbell, JW Daniels, J Elle, E Ellis, JD Fleischer, SJ Gibbs, J Gillespie, RL Gundersen, KB Gut, L Hoffman, G Joshi, N Lundin, O Mason, K McGrady, CM Peterson, SS Pitts-Singer, TL Rao, S Rothwell, N Rowe, L Ward, KL Williams, NM Wilson, JK Isaacs, R Winfree, R.. Crop production in the USA is frequently limited by a lack of pollinators. Procceding of Royal Society. B. 2020; 287(20200922)DOI
- Ruttner F.. Biogeography and Taxonomy of Honeybees. 1988. DOI
- Simanjuntak J.G., Priawandiputra W., Raffiudin R., Shullia N.I., Jauharlina J., Pradana M.G., Meilin A., Jasmi J., Pujiastuti Y., Lestari P., Ilyasov R., Sitompul R., Atmowidi T.. Apis cerana Fabricius, 1793 in Sumatra: Haplotype variations of mitochondrial DNA and the molecular relationship with the asian honey bees (Hymenoptera: Apidae. HAYATI Journal of Biosciences. 2024; 31:768-780. DOI
- Siregar E.H., Atmowidi T., Kahono S.. Diversity and abundance of insect pollinators in different agricultural lands in Jambi, Sumatera. HAYATI Journal of Biosciences. 2016; 23:13-17. DOI
- Syafrizal Ramadhan R., IW Kusuma, S Egra, K Shimizu, M Kanzaki, E Tangkearung. Diversity and honey properties of stingless bees from meliponiculture in East and North Kalimantan, Indonesia. Biodiversitas. 2020; 21:4623-4630. DOI
- Vasiliev D., Greenwood S.. The role of climate change in pollinator decline across the Northern Hemisphere is underestimated. Science of The Total Environment. 2021; 775(145788)DOI
- Young A.M., Kohl P.L., Rutschmann B., Steffan-Dewenter I., Brockmann A., Dyer F.C.. Temporal and spatial foraging patterns of three Asian honey bee species in Bangalore, India. Apidologie. 2021; 52:503-523. DOI
Abrol DP. 2006. Factors influencing flight activity of Apis florea f, an important pollinator of Daucus carota L. Journal of Apicultural Research. 45:2–6. DOI: https://doi.org/10.1080/00218839.2006.11101317.
Abrol DP. 2010. Foraging behaviour of Apis florea F., an important pollinator of Allium cepa L. Journal of Apicultural Research. 49:318–325. DOI: https://doi.org/10.3896/IBRA.1.49.4.04.
Abrol DP. 2013. Asiatic Honeybee Apis cerana. Asiatic Honeybee Apis cerana. Netherland: Springer Netherlands. DOI: https://doi.org/10.1007/978-94-007-6928-1.
Abrol DP. 2020. The Future Role of Dwarf Honeybees in Natural and Agricultural Systems. Boca Raton: CRC Press. DOI: https://doi.org/10.1201/9781003033936.
Atmowidi T, Buchori D, Manuwoto S, Suryobroto B, Hidayat P. 2007. Diversity of pollinator insects in relation to seed set of Mustard (Brassica rapa L.: Cruciferae). HAYATI Journal of Biosciences. 14:155–161. DOI: https://doi.org/10.4308/hjb.14.4.155.
Atmowidi T, Canta L, Hasibuan SS, Wayan Sri Utari N, Dorly D, Prawasti TS. 2022a. The pollen load on stingless bees (Apidae: Meliponinae) foraged in urban area. Acta Universitatis Agriculturae et Silviculturae Mendelianae Brunensis. 70:227–233. DOI: https://doi.org/10.11118/actaun.2022.017.
Atmowidi T, Riyanti P, Sutrisna A. 2008. Pollination effectiveness of Apis cerana Fabricus and Apis mellifera Linnaeus (Hymenoptera: Apidae) in Jatropha curcas L. (Euphorbiaceae). BIOTROPIA - The Southeast Asian Journal of Tropical Biology. 15:129–134 DOI: https://doi.org/10.11598/btb.2008.15.2.72.
Atmowidi T, Taruni SP, Rianti P, Fikrunnia A. Prasojo, Nalendra BP. 2022b. Stingless bees pollination increases fruit formation of strawberry (Fragaria x annanassa Duch) and Melon (Cucumis melo L.). Tropical Life Sciences Research. 33:43–54. DOI: https://doi.org/10.21315/tlsr2022.33.1.3.
Buchori D, Rizali A, Priawandiputra W, Raffiudin R, Sartiami D, Pujiastuti Y, Jauharlina, Pradana MG, Meilin A, Leatemia JA, Sudiarta IP, Rustam R, Nelly N, Lestari P, Syahputra E, Hasriyanti, Watung JF, Daud IDA, Hariani N, Jihadi A, Johannis M. 2022. Beekeeping and managed bee diversity in Indonesia: Perspective and preference of beekeepers. Diversity. 14:52. DOI: https://doi.org/10.3390/d14010052.
Chauhan A, Singh HK. 2022. Stingless bee Tetragonula iridipennis and honey bee Apis cerana pollination in Cucumber. Indian Journal of Entomology. 546–550. DOI: https://doi.org/10.55446/IJE.2021.282.
Cui Q, Corlett RT. 2016. Seasonal and diurnal patterns of activity in honeybees (Apis spp.) on the northern edge of the Asian tropics; their implications for the climate-change resilience of pollination. Tropical Conservation Science. 9:1940082916667142. SAGE Publications Inc. DOI: https://doi.org/10.1177/1940082916667142.
Danaraddi CS. 2007. Studies on stingless bee, Trigona iridipennis Smith with special reference to foraging behaviour and melissopalynology at Dharwad, Karnataka. Thesis. Dharwad: College of Agricultural Science. Dharwad.
Digby PS. 1955. Factors affecting the temperature excess of insects in sunshine. Journal of Experimental Biology. 32:279–298. DOI: https://doi.org/10.1242/jeb.32.2.279.
Engel MS. 1999. The taxonomy of recent and fossil honey bees (Hymenoptera: Apidae; Apis). Journal of Hymenoptera Research. 8:165–196.
Engel MS. 2012. The honey bees of Indonesia (Hymenoptera: Apidae). TREUBIA. 39:41–49.
Engel MS, Kahono S, Peggie D. 2019. A key to the genera and subgenera of stingless bees in Indonesia (Hymenoptera: Apidae). TREUBIA. 45:65–84. DOI: https://doi.org/10.14203/treubia.v45i0.3687.
Fidalgo A de O, Kleinert A de MP. 2007. Foraging behavior of Melipona rufiventris Lepeletier (Apinae; Meliponini) in Ubatuba, SP, Brazil. Brazilian Journal of Biology. 67:133–140. DOI: https://doi.org/10.1590/S1519-69842007000100018.
Grula CC, Rinehart JP, Greenlee KJ, Bowsher JH. 2021. Body size allometry impacts flight-related morphology and metabolic rates in the solitary bee Megachile rotundata. Journal of Insect Physiology. 133:104275. DOI: https://doi.org/10.1016/j.jinsphys.2021.104275.
Hanifa HS, Sartiami D, Priawandiputra W, Buchori D. 2021. Characteristics of apiculture and meliponiculture in Banten Province, Indonesia: Profile of beekeepers, bee and pollen diversity. IOP Conference Series: Earth and Environmental Science. 948:012050. DOI: https://doi.org/10.1088/1755-1315/948/1/012050.
Hepburn HR, Hepburn C. 2005. Bibliography of Apis florea. Apidologie. 36:377–378. DOI: https://doi.org/10.1051/apido:2005024.
Hepburn HR, Radloff SE. 2011. Biogeography of the dwarf honeybees, Apis andreniformis, and Apis florea. Apidologie. 42:293–300. DOI: https://doi.org/10.1007/s13592-011-0024-x.
Hill RW, Wyse GA, Anderson M. 2012. Animal Physiology. 3rd ed. Sinauer Associates, Inc. Available at: http://gen.lib.rus.ec/book/index.php?md5=a3af2ce7602f60658114fe5c854901f2 [accessed 14 December 2023].
Hrncir M, Maia-Silva C. 2013. On the diversity of foraging-related traits in stingless bees. In: Vit P, Pedro SRM, Roubik D (Eds.), Pot-Honey: A Legacy of Stingless Bees. pp. 201–215. New York: Springer. DOI: https://doi.org/10.1007/978-1-4614-4960-7_13.
Kahono S, Chantawannakul P, Engel MS. 2018. Social bees and the current status of beekeeping in Indonesia. In: Asian Beekeeping in The 21st Century. pp. 287–306. Springer Singapore. DOI: https://doi.org/10.1007/978-981-10-8222-1_13.
Li X, Ma W, Shen J, Long D, Feng Y, Su W, Xu K, Du Y, Jiang Y. 2019. Tolerance and response of two honeybee species Apis cerana and Apis mellifera to high temperature and relative humidity. PLOS ONE. 14:e0217921. DOI: https://doi.org/10.1371/journal.pone.0217921.
Maa T. 1953. An inquiry into the systematics of the tribus Apidini or honey bees (Hymenoptera). TREUBIA. 21:525–639.
Mardan M, Kevan PG. 2002. Critical temperatures for survival of brood and adult workers of the giant honeybee, Apis dorsata (Hymenoptera: Apidae). Apidologie. 33:295–301. DOI: https://doi.org/10.1051/apido:2002017.
Michener CD. 2000. The Bees of the World. 1st ed. Maryland: The Johns Hopkins University Press.
Mythri PG, Kencharaddi RN, Venukumar S, Hanumantharaya L, Shivaprasad M, Hosagoudar GN. 2023. Foraging behavior of stingless bee, Tetragonula iridipennis (Smith). Journal of Experimental Zoology India. 26:461–466. DOI: https://doi.org/10.51470/jez.2023.26.1.461.
Oldroyd B, Rinderer T, Wongsiri S. 1992. Pollen resource partitioning by Apis dorsata, A. cerana, A. andreniformis and A. florea in Thailand. Journal of Apicultural Research. 31:3–7. DOI: https://doi.org/10.1080/00218839.1992.11101253.
Otis GW. 1996. Distributions of recently recognized species of honey bees (Hymenoptera: Apidae; Apis) in. Journal of the Kansas Entomological Society. 69:311–333.
Pereboom JJM, Biesmeijer JC. 2003. Thermal constraints for stingless bee foragers: the importance of body size and coloration. Oecologia. 137:42–50. DOI: https://doi.org/10.1007/s00442-003-1324-2.
Pierrot LM, Schlindwein C. 2003. Variation in daily flight activity and foraging patterns in colonies of uruçu-Melipona scutellaris Latreille (Apidae, Meliponini). Revista Brasileira de Zoologia. 20:565–571. DOI: https://doi.org/10.1590/S0101-81752003000400001.
Prasetyo A, Raffiudin R, Batubara I, Ariyanti NS. 2022. Perilaku mencari polen dan identifikasi polen Tetragonula laeviceps pada dua Kebun Tanaman Obat. Jurnal Ilmu Pertanian Indonesia. 27:341–350. DOI: https://doi.org/10.18343/jipi.27.3.341.
Pulungan ZN, Priawandiputra W, Grass I, Li K, Robo RJ, Raffiudin R. 2023. Tropical lowland rainforest conversion to rubber monoculture affects flight activity and pollen resources of the stingless bees Tetragonula laeviceps. Jurnal Entomologi Indonesia. 20:88–100. DOI: https://doi.org/10.5994/jei.20.1.88.
Purwanto H, Soesilohadi RCH, Trianto M. 2022. Stingless bees from meliponiculture in South Kalimantan, Indonesia. Biodiversitas. 23:1254–1266. DOI: https://doi.org/10.13057/biodiv/d230309.
Putra RE, Kinasih I. 2013. Efficiency of local Indonesia honey bees (Apis cerana L.) and stingless bee (Trigona iridipennis) on tomato (Lycopersicon esculentum Mill.) pollination. Pakistan Journal of Biological Sciences. 17:86–91. DOI: https://doi.org/10.3923/pjbs.2014.86.91.
Putra R, Dewangga RT, Hermawan E, Kinasih I, Raffiudin R, Soesilohadi R H, Purnobasuki H. 2024. Comparing effectiveness of hand pollination, wild insects and local stingless bees (Tetragonula laeviceps) for pollination of exotic Mauritius raspberry (Rubus rosifolius). HAYATI Journal of Biosciences. 31:1050–1060. DOI: https://doi.org/10.4308/hjb.31.6.1050-1060.
R Core Team. 2020. R: A Language and Environment for Statistical Computing. Vienna, Austria: R Foundation for Statistical Computing. Available at: https://www.r-project.org/.
Radloff SE, Hepburn C, Randall Hepburn H, Fuchs S, Hadisoesilo S, Tan K, Engel MS, Kuznetsov V. 2010. Population structure and classification of Apis cerana. Apidologie. 41:589–601. DOI: https://doi.org/10.1051/apido/2010008. [accessed 14 December 2023].
Raffiudin R, Ariyanti SR, Aprilianingrum I, Anwar H, Shullia NI, Bening S, Wiyati SY, Priawandiputra W, Saleh S, Suardi, Fahri F, Putra RE, Soesilohadi RCH, Purnobasuki H. 2022a. Flight activity and pollen resources of Apis nigrocincta and Apis cerana in Central Sulawesi, Indonesia. Agriculture and Natural Resources. 56:463–472. DOI: https://doi.org/10.34044/j.anres.2022.56.3.03.
Raffiudin R, Shullia NI, Damayanti AU, Wahyudi DT, Febiriani TV, Atmowidi T, Lamerkabel JSA, Widjaja MC. 2022b. New haplotypes of Apis cerana in Indonesia: Identification from mitochondrial and major royal jelly protein 2 genes. International Journal of Tropical Insect Science. 42:389–401. DOI: https://doi.org/10.1007/s42690-021-00556-x.
Ramadani RF, Raffiudin R, Ariyanti N, Biagioni S, Treanore E, Behling H. 2021. Stingless bee foraging behavior and pollen resource use in oil palm and rubber plantations in Sumatra. Jurnal Entomologi Indonesia. 18:81–92. DOI: https://doi.org/10.5994/jei.18.2.81.
Reilly JR, Artz D R, Biddinger D, Bobiwash K Boyle NK, Brittain C, Brokaw J, Campbell JW, Daniels J, Elle E, Ellis JD, Fleischer SJ, Gibbs J, Gillespie RL, Gundersen KB, Gut L, Hoffman G, Joshi N, Lundin O, Mason K, McGrady CM, Peterson SS, Pitts-Singer TL, Rao S, Rothwell N, Rowe L, Ward KL, Williams NM, Wilson JK, Isaacs R, Winfree R. 2020. Crop production in the USA is frequently limited by a lack of pollinators. Procceding of Royal Society. B. 287:20200922. DOI: https://doi.org/10.1098/rspb.2020.0922.
Ruttner F. 1988. Biogeography and Taxonomy of Honeybees. Berlin Heidelberg: Springer. DOI: https://doi.org/10.1007/978-3-642-72649-1.
Simanjuntak JG, Priawandiputra W, Raffiudin R, Shullia NI, Jauharlina J, Pradana MG, Meilin A, Jasmi J, Pujiastuti Y, Lestari P, Ilyasov R, Sitompul R, Atmowidi T. 2024. Apis cerana Fabricius, 1793 in Sumatra: Haplotype variations of mitochondrial DNA and the molecular relationship with the asian honey bees (Hymenoptera: Apidae). HAYATI Journal of Biosciences. 31:768–780. DOI: https://doi.org/10.4308/hjb.31.4.768-780.
Siregar EH, Atmowidi T, Kahono S. 2016. Diversity and abundance of insect pollinators in different agricultural lands in Jambi, Sumatera. HAYATI Journal of Biosciences. 23:13–17. DOI: https://doi.org/10.1016/j.hjb.2015.11.002.
Syafrizal, Ramadhan R, Kusuma IW, Egra S, Shimizu K, Kanzaki M, Tangkearung E. 2020. Diversity and honey properties of stingless bees from meliponiculture in East and North Kalimantan, Indonesia. Biodiversitas. 21:4623–4630. DOI: https://doi.org/10.13057/biodiv/d211021.
Vasiliev D, Greenwood S. 2021. The role of climate change in pollinator decline across the Northern Hemisphere is underestimated. Science of The Total Environment. 775:145788. DOI: https://doi.org/10.1016/j.scitotenv.2021.145788.
Young AM, Kohl PL, Rutschmann B, Steffan-Dewenter I, Brockmann A, Dyer FC. 2021. Temporal and spatial foraging patterns of three Asian honey bee species in Bangalore, India. Apidologie. 52:503–523. DOI: https://doi.org/10.1007/s13592-020-00839-1.
Copyright (c) 2024 Nurul Insani Shullia, Wachju Subchan, Rika Raffiudin, Tri Atmowidi, Windra Priawandiputra, Nunik Sri Ariani, Pujiastuti, Aisyah Nurlatifah Dewi, Yurika Nur Sabella, Lutmitha Nisaul Siffahk, Weni Khoiru Nisa, Aldea Anisyafera Novidayanti

This work is licensed under a Creative Commons Attribution 4.0 International License.
Authors who publish with this journal agree to the following terms:
- Authors retain copyright and grant the journal right of first publication with the work simultaneously licensed under a Creative Commons Attribution 4.0 International License that allows others to share the work with an acknowledgement of the work's authorship and initial publication in this journal.
- Authors are able to enter into separate, additional contractual arrangements for the non-exclusive distribution of the journal's published version of the work (e.g., post it to an institutional repository or publish it in a book), with an acknowledgement of its initial publication in this journal.
- Authors are permitted and encouraged to post their work online (e.g., in institutional repositories or on their website) prior to and during the submission process, as it can lead to productive exchanges, as well as earlier and greater citation of published work (See The Effect of Open Access).









