Keanekaragaman dan komposisi spesies laba-laba predator dan parasitoid Hymenoptera pada tanaman jagung dengan dan tanpa refugia pada musim yang berbeda
Diversity and species composition of predatory spiders and Hymenopteran parasitoid on maize fields with and without refugia in different seasons
Downloads
Refugia are plants that play an important role in the conservation of natural enemies in agroecosystem. Refugia plants are useful for providing shelter and host/prey for natural enemies, especially parasitoids and predators. This study was aimed to investigate the effect of refugia and different planting seasons on the diversity and species composition of natural enemies (especially predatory spiders and Hymenoptera parasitoids) in maize fields. Field research was conducted in two different seasons i.e., dry season (April to July 2022) and rainy season (September to December 2022) in Tumpang Village, Malang District. The maize fields for the study were grouped into four different areas, with two observation plots (size 40 m í— 50 m) in each area, consisting of a monoculture maize field (control plot) and a maize field with refugia plants (treatment plot). Sampling was conducted using pitfall traps (for predatory spiders) and yellow traps (for Hymenoptera parasitoids). Traps were set for 1 í— 24 hours and conducted at 2, 4, 6, 8, 10 and 12 weeks after planting. The results from two planting seasons were obtained predatory spider diversity amounted to 626 individuals consisting of 7 families, and 40 morphospecies, while Hymenoptera parasitoids amounted to 787 individuals consisting of 5 families, and 63 morphospecies. Based on generalized linear models analysis, it was found that refugia planting did not affect the diversity of natural enemies, but affected the species composition of predatory spiders. Different planting seasons affect the diversity and species composition of predatory spiders as well as Hymenoptera parasitoids.
Downloads
PENDAHULUAN
Komoditas jagung termasuk komoditas unggulan dan terus dikembangkan untuk me- menuhi kebutuhan dalam negeri dan ditargetkan sebagai komoditas ekspor nasional(Sulaiman et al., 2017) , Data (Statistik, 2023) menunjukkan bahwa terjadi peningkatan produksi jagung pada tiga tahun terakhir. Tercatat pada tahun 2021 produksi jagung sebesar 13,41 juta ton, kemudian dua tahun berikutnya naik menjadi 14,46 juta ton.
Peningkatan produksi jagung di Indonesia dititik beratkan pada pelaksanaan intensifikasi jagung, sedangkan pengelolaan agroekosistem belum sepenuhnya di lakukan (Hudoyo & Nurmayasari, 2019) Pelaksanaan intensifikasi pada lahan jagung umumnya berupa pembersihan gulma, penerapan sistem budidaya monokultur, penggunaan pestisida sintetik (Salelua & Maryam, 2018) Beberapa pendekatan tersebut menyebabkan dampak lingkungan yang merugikan terutama, seperti hilangnya keanekaragaman hayati, hilangnya habitat dan berdampak negatif pada kesehatan manusia (Flora et al., 2019) Pembersihan gulma secara intensif menyebabkan banyak hilangnya tanaman berbunga yang berfungsi sebagai sumber makanan bagi serangga penyerbuk serta sebagai tempat tinggal bagi arthropoda yang bermanfaat bagi tanaman utama (Kurniawati & Martono, 2017) Penggunaan pestisida sintetik secara tidak bijaksana dapat mengakibatkan rusaknya keseimbangan ekosistem (Adriyani, 2006) Pemupukan yang tidak tepat dan tidak berimbang menyebabkan keanekaragaman arthropoda juga dapat berkurang (N et al., 2006) Pestisida sintetik dapat meracuni dan mematikan organisme selain hama seperti musuh alami (Handayani et al., 2019)
Arthropoda mempunyai peranan penting dalam menentukan fungsi dan stabilitas ekosistem (Altieri, 1999) Sebagai komponen keanekaragaman hayati, arthropoda memainkan peran penting dalam ekosistem pertanian (Gonçalves & Pereira, 2012) baik berperan sebagai musuh alami pada serangga hama dan sebagai indikator kerusakan agroekosistem atau ekosistem lingkungan (Kumar & Shakunthala, 2016) Predator dan parasitoid memberikan kontribusi yang tinggi dalam mengendalikan populasi organisme pengganggu tanaman (OPT) pada bidang pertanian (Muliani & Srimurni, 2022) Kontribusi musuh alami tersebut dapat ditingkatkan dengan memanipulasi keanekaragaman tanaman pada lanskap pertanian melalui strategi rekayasa ekologi (Pilianto et al., 2021) Keanekaragaman tersebut berfungsi terutama untuk menjadi tempat berlindung dan memberikan inang/mangsa bagi musuh alami (laba-laba predator dan parasitoid Hymenoptera) (Mahanani et al., 2020) Salah satu strategi rekayasa ekologi adalah dengan menanam tanaman refugia pada lahan tanaman jagung. Tanaman refugia menyediakan mikrohabitat untuk musuh alami berkembang biak, berlindung dan mencari makanan (Kumar & Shakunthala, 2016)
Parasitoid larva Spodoptera frugiperda Smith pada lahan jagung, seperti Cotesia icipe Fernandez-Triana & Fiaboe dan Coccygidum luteum (Brullé) tertarik pada zat volatile yang dikeluarkan tanaman (Sobhy et al., 2022) Parasitoid yang paling sering ditemukan pada sistem tumpang sari jagung dan kacang-kacangan adalah parasitoid dari Famili Eurytomydae, Braconidae, Tachinidae, Pteromalidae, Scelionidae, dan Figitidae (Pierre et al., 2022) Selain parasitoid Hymenoptera, keberadaan laba-laba predator (Arachnida: Araneae) juga menguntungkan pada pertanaman jagung karena dapat mengendalikan OPT (Maramis, 2014) Hasil penelitian pada pertanaman jagung menunjukkan, jumlah laba-laba tertinggi tercatat dari Famili Lycosidae (1.671 individu), diikuti oleh Salticidae (459 individu) dan Oxyopidae (352 individu) (Saranya et al., 2019) Pentingnya penelitian untuk mengisi kesenjangan pengetahuan mengenai pengendalian hayati menggunakan tanaman refugia, serta memahami faktor-faktor yang memengaruhi kehadiran musuh alami di pertanaman jagung. Penelitian ini difokuskan untuk mengetahui pengaruh tanaman refugia serta perbedaan musim tanam terhadap keanekaragaman dan komposisi spesies musuh alami khususnya dari kelompok laba-laba predator dan parasitoid Hymenoptera.
BAHAN DAN METODE
Lokasi penelitian dan desain eksperimen
Penelitian lapangan dilaksanakan pada dua musim berbeda, yaitu musim kemarau/musim 1 (bulan April hingga Juli 2022) dan musim hujan/ musim 2 (bulan September hingga Desember 2022) di Desa Tumpang, Kabupaten Malang. di Desa Tumpang, Kecamatan Tumpang, Kabupaten Malang, Provinsi Jawa Timur (8°00’06.7”LS 112°45’17.5”BT). Pengambilan sampel dilakukan di empat lahan jagung dengan setiap area terdapat lahan perlakuan dan lahan kontrol Gambar 1 Penelitian dilaksankan dengan menerapkan dua kali musim tanam dan setiap petak maupun area berjarak minimal 150 meter. Area 1 berada di dekat lahan pemukiman warga, area 2 terdapat banyak tanaman tahunan di sekitarnya, area 3 berada pemukiman warga, tetapi masih terdapat banyak tanaman tahunan di sekitarnya, dan untuk area 4 berada pada lahan yang di sekitarnya terdapat tanaman jagung monokultur dan sayuran. Pengamatan kelimpahan spesies laba-laba predator dan parasitoid Hymenoptera dilakukan ketika tanaman jagung memasuki berumur 4, 6, 8, 10, dan 12 minggu setelah tanam (MST). Hasil dari pengambilan sampel di lahan kemudian diidentifikasi dan dianalisis. Identifikasi sampel dilakukan di Laboratorium Hama, Departemen Hama dan Penyakit Tumbuhan, Fakultas Pertanian Universitas Brawijaya dan Laboratorium Pengen- dalian Hayati, Departemen Proteksi Tanaman, Fakultas Pertanian, Institut Pertanian Bogor.Tanaman refugia yang digunakan adalah kenikir/marigold (Tagetes spp.), bunga pukul delapan (Turnera subulata), bunga matahari (Helianthus annuus), kacang panjang (Vigna unguiculata), kacang hias (Arachis pintoi), dan air mata pengantin (Antigonon leptopus). Budi daya tanaman jagung yang dilakukan dalam penelitian ini menggunakan protokol yang berlaku di PT. Syngenta. Budi daya jagung dilakukan dengan menggunakan benih jagung varietas NK6172 Perkasa, insektisida digunakan untuk mengendalikan hama. Selain itu, terdapat pupuk urea, NPK, dan pupuk kandang kotoran kambing digunakan untuk menambahkan unsur hara pada tanah.Lahan penelitian tanaman jagung dibagi menjadi dua, yaitu petak perlakuan dan petak kontrol dengan luas lahan jagung 2.000 m2. Petak perlakuan adalah petak yang ditanami tanaman refugia. Lahan perlakuan terdiri atas tiga petak dengan setiap petak berukuran 5 m × 5 m Gambar 2 Petak kontrol terdiri atas 1 petak dengan hanya ditanami jagung tanpa refugia. Jarak antar petak perlakuan dengan petak kontrol kurang lebih 150 m. Petak perlakuan dibuat sebagai wilayah rekayasa ekologi dengan menanam enam jenis tanaman refugia yang berbeda.
Laba-laba predator dikoleksi menggunakan pitfall trap dengan cara membuat lubang perangkap di permukaan tanah. Pada lubang tersebut dibenamkan wadah penampung berupa cup plastik berukuran 350 ml dengan posisi bukaan wadah sejajar dengar permukaan tanah. Wadah cup plastik tersebut diisi larutan deterjen yang berfungsi menurunkan tegangan permukaan sehingga laba-laba predator yang masuk dalam pitfall terperangkap. Untuk mengantisipasi masuknya air hujan ataupun gangguan lainnya lubang perangkap diberi penutup yang berbentuk seperti atap. Keberadaan penutup tersebut menyisakan dua sisi terbuka pada permukaan lubang sehingga laba-laba predator masih dapat masuk ke dalam perangkap. Parasitoid Hymenoptera dikoleksi menggunakan yellow pan trap (perangkap nampan kuning) yang diisi larutan deterjen. Perangkap ini berupa mangkuk berwarna kuning mirip bunga sehingga efektif menangkap parasitoid Hymenoptera yang terbang. Perangkap dipasang selama 1 × 24 jam, setelah itu musuh alami (laba-laba predator dan parasitoid Hymenoptera) yang terperangkap pada satu titik sampel diambil dan dimasukkan ke dalam botol fial yang berisi etanol 70%.
Gambar 1.Lokasi empat area penelitian di Desa Tumpang, Kecamatan Tumpang, Kabupaten Malang, Jawa Timur. Catatan: Setiap area terdiri atas petak perlakuan dan kontrol.(The location of the four research areas is in Tumpang Village, Tumpang District, Malang Regency, East Java. Note: Each area consists of treatment and control plots.)
Gambar 2.Desain lahan percobaan untuk plot kontrol dan plot perlakuan.(Design of field experiment for plot control and plot treatment)
Identifikasi musuh alami (laba-laba predator dan parasitoid Hymenoptera)
Koleksi musuh alami (laba-laba predator dan parasitoid Hymenoptera) yang telah didapatkan kemudian diidentifikasi berdasarkan pada karakter morfologi hingga tingkat morphospesies. Identifikasi parasitoid Hymenoptera menggunakan literatur Hymenoptera of The World: An Identification Guide to Families (Goulet & Huber, 1993) dan laba-laba predator menggunakan Borror & Delong’s Introduction of The Study of Insects (Borror et al., 2005)
Analisis data
Data hasil identifikasi musuh alami (laba- laba predator dan parasitoid Hymenoptera) ditabulasikan ke dalam database dalam format Excel sehingga diperoleh kelimpahan spesies, jumlah famili, dan jumlah morfospesies musuh alami yang dikoleksi. Selanjutnya, perbedaan kekayaan dan kelimpahan spesies pada perlakuan refugia dan perbedaan musim tanam dianalisis menggunakan generalized linier model (GLM). Komposisi musuh alami (laba-laba predator dan parasitoid Hymenoptera) tiap perlakuan dianalisis menggunakan analysis of similarity (ANOSIM). Keseluruhan analisis dilakukan menggunakan perangkat lunak R-Studio versi 4.2.2 tahun 2023.
HASIL
Kekayaan spesies dan kelimpahan laba-laba predator dan parasitoid Hymenoptera
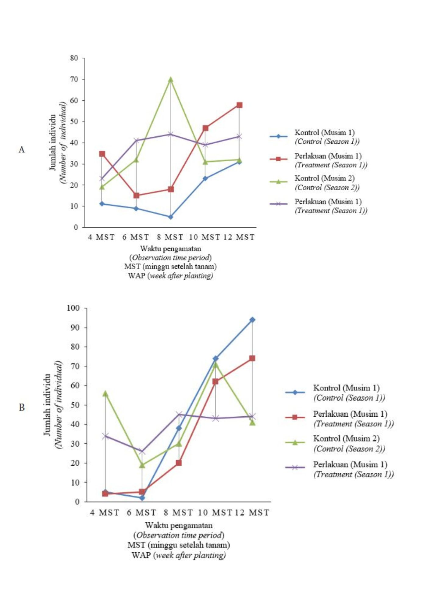
Hasil penelitian diperoleh kelimpahan laba- laba predator sebanyak 626 individu yang termasuk dalam 7 famili dan 40 morfospesies, sedangkan kelimpahan parasitoid Hymenoptera sebanyak 651 individu dari 5 famili dan 63 morfospesiesTabel 1. Kekayaan dan kelimpahan laba-laba predator terbanyak terdapat pada Famili Lycosidae dengan 124 individu dan 11 morfospesies. Untuk parasitoid Hymenoptera, kekayaan spesies dan kelimpahan terbanyak terdapat pada Famili Diapriidae.Berdasarkan umur tanaman jagung, jumlah individu musuh alami menunjukkan fluktuasi baik pada lahan dengan refugia maupun tanpa refugia pada musim 1 dan musim 2Gambar 3. Pada tanaman berumur 6 MST untuk penanaman musim pertama lahan kontrol maupun perlakuan terjadi penurunan jumlah individu laba-laba predator, sedangkan pada musim kedua terjadi sebaliknya. Namun, ketika tanaman memasuki umur 8 MST hingga 12 MST jumlah individu laba-laba musim kedua mengalami fluktuasi. Berbeda halnya dengan yang terjadi pada kelimpahan parasitoid Hymenoptera yang menunjukkan tren menurun saat umur tanaman 6 MST, sedangkan saat tanaman berumur 8 MST hingga 12 MST menunjukkan tren peningkatan jumlah individu pada perlakuan maupun kontrol musim pertama. Sementara itu, jumlah individu parasitoid Hymneoptera pada musim kedua terjadi kondisi yang fluktuatif pada petak kontrol maupun perlakuan.
|
Ordo Famili (Family) |
Musim 1 (Season 1) |
Musim 2 (Season 2) |
||||||||||||||
|---|---|---|---|---|---|---|---|---|---|---|---|---|---|---|---|---|
| Area 1 | Area 2 |
Area 3 |
Area 4 |
Area 1 | Area 2 | Area 3 | Area 4 | |||||||||
| S | N |
S | N | S | N | S | N |
S |
N | S |
N | S |
N |
S |
N |
|
Laba-laba (Spiders) |
||||||||||||||||
Araneidae |
1 | 1 |
||||||||||||||
| Cheiranthiidae | 1 | 1 |
||||||||||||||
Linyphiidae |
6 | 11 |
7 | 33 | 4 | 7 | 2 | 4 |
5 |
18 | 3 |
12 | 7 |
28 | 5 |
11 |
Lycosidae |
6 | 19 |
10 | 99 | 6 | 38 | 6 | 36 |
8 |
33 | 10 |
76 | 11 |
124 | 8 |
50 |
Oxyopidae |
2 |
3 | 1 |
2 | 5 |
5 | 1 |
1 | ||||||||
Salticidae |
1 | 1 |
1 | 1 | 1 |
2 | 1 |
6 | 1 |
1 | 2 |
2 | ||||
| Tetragnathidae | 1 | 1 | ||||||||||||||
| Hymenoptera | ||||||||||||||||
Braconidae |
7 | 26 |
6 | 37 | 8 | 66 | 5 | 14 |
7 |
31 | 6 |
14 | 5 |
14 | 4 |
9 |
Diapriidae |
7 | 30 |
7 | 51 | 5 | 24 | 3 | 3 |
10 |
52 | 6 |
19 | 6 |
24 | 9 |
44 |
Evaniidae |
1 |
1 | ||||||||||||||
| Ichneumonidae | 5 | 6 |
8 | 25 | 4 | 10 | 1 | 2 |
8 |
23 | 7 |
13 | 9 |
16 | 8 |
12 |
Scelionidae |
8 | 19 |
13 | 47 | 7 | 11 | 5 | 7 |
12 |
32 | 11 |
27 | 11 |
35 | 15 |
43 |
Total |
42 | 114 |
53 | 294 | 34 | 156 | 22 | 66 |
54 |
195 | 45 |
169 | 55 |
247 | 52 |
172 |
Gambar 3.Fluktuasikelimpahan musuh alami antar umur tanaman jagung berbeda. A: laba-laba predator dan B: parasitoid Hymenoptera.(Fluctuations in the abundance of natural enemies between different ages of corn plants. A: predatory spiders and B: Hymenopteran parasitoid.)
Pengaruh refugia dan musim tanam terhadap kekayaan spesies dan kelimpahan musuh alami
Hasil analisis generalized linier models (GLM) menunjukkan bahwa refugia tidak berpengaruh terhadap kekayaan spesies (t = 0,203, P = 0,839, n = 72) dan kelimpahan laba-laba predator (t =1,618, P = 0,110, n = 72), maupun kekayaan spesies (t = -0,0117, P = 0,907, n = 66) dan kelimpahan parasitoid Hymenoptera (t = -0,895, P = 0,374, n = 66) Tabel 2 Sementara, musim tanam jagung yang berbeda hanya berpengaruh terhadap kekayaan spesies (t = 2,514, P = 0,014, n = 72), tetapi tidak berpengaruh terhadap kelimpahan laba-laba predator (t = 1,804, P = 0,075, n = 72) dan juga kekayaan spesies (t = 0,781, P = 0,437, n = 66) dan kelimpahan parasitoid Hymenoptera (t = -0,410, P = 0,683) Tabel 2
Pengaruh penanaman refugia dan musim tanam terhadap komposisi spesies musuh alami
Berdasarkan analisis komposisi spesies musuh alami diperoleh hasil bahwa lahan jagung dengan pemberian refugia dan tanpa refugia menunjukkan perbedaan komposisi spesies baik untuk laba-laba predator (R-Anosim: -0,0329; P = 0,036) maupun parasitoid Hymenoptera (R = 0,1783; P = 0,001). Sebanyak 9 morfospesies (22,5%) laba-laba hanya ditemukan pada lahan tanpa refugia dan 6 morfospesies (16%) hanya ditemukan pada lahan dengan refugiaGambar 4 (Gambar 4A), sedangkan untuk parasitoid Hymenoptera 6 morfospesis (9,5%) hanya ditemukan di lahan tanpa refugia dan 5 morfospesies (7,9%) hanya ditemukan di lahan dengan refugiaGambar 4 (Gambar 4C). Berdasarkan musim tanam berbeda, sebanyak 7 morfospesis (17,5%) laba-laba predator hanya ditemukan pada musim 1 dan 15 morfospesies (37,5%) hanya ditemukan pada musim 2, sedangkan untuk parasitoid Hymenoptera, sebanyak 5 morfospesies (7,9%) hanya ditemukan di musim 1 dan 17 spesies (26,9%) hanya ditemukan pada musim 2Gambar 4 (Gambar 4B dan 4D). area on species richness and abundance of predatory spiders and Hymenoptera parasitoids.
|
Kekayaan spesies (Species richness) |
Jumlah individu (Number of individual) |
|||||
|---|---|---|---|---|---|---|
Estimate |
t value |
P value |
Estimate |
t value |
P value |
|
|
Predator (Laba-laba) (Spiders) | ||||||
(Intercept) |
0,604 |
2,216 |
0,030* |
0,729 |
1,859 |
0,067 |
Musim (Musim 2) (Season 2) |
0,350 |
2,514 |
0,014* |
0,334 |
1,804 |
0,075 |
Petak (Perlakuan) (Treatment) |
0,027 |
0,203 |
0,839 |
0,297 |
1,618 |
0,110 |
Area 2 |
0,141 |
0,732 |
0,467 |
0,949 |
2,192 |
0,031* |
Area 3 |
0,087 |
0,437 |
0,663 |
0,588 |
2,035 |
0,045* |
Area 4 |
-0,314 |
-1,455 |
0,150 |
-0,122 |
-0,373 |
0,710 |
MST (WAP) |
0,073 |
2,926 |
0,047* |
0,089 |
2,695 |
0,008** |
Parasitoid (Hymenoptera) | ||||||
(Intercept) |
1,008 |
2,810 |
0,006** |
1,508 |
3,365 |
0,001** |
Musim (Musim 2)(Season 2) |
0,138 |
0,781 |
0,437 |
-0,087 |
-0,41 |
0,683 |
Petak (Perlakuan) (Treatment) |
-0,019 |
-0,117 |
0,907 |
-0,186 |
-0,895 |
0,374 |
Area 2 |
-0,047 |
-0,200 |
0,842 |
0,032 |
0,117 |
0,907 |
Area 3 |
-0,156 |
-0,668 |
0,506 |
-0,21 |
-0,734 |
0,465 |
Area 4 |
-0,447 |
-1,770 |
0,081 |
-0,59 |
-1,841 |
0,070 |
MST (WAP) |
0,116 |
0,032 |
0,0008*** |
0,146 |
3,548 |
0,0007*** |
Gambar 4.Diagram venn perbedaan komposisi musuh alami antara lahan jagung dengan perlakuan refugia dan tanpa perlakuan refugia (A: untuk laba-laba predator dan C: untuk parasitoid Hymenoptera) dan musim tanam tanam berbeda (B: untuk laba-laba predator dan D: untuk parasitoid Hymenoptera).(Venn diagram of differences in natural enemy composition between corn fields with refugia treatment and without refugia treatment (A: for predatory spiders and C: for Hymenoptera parasitoids) and different planting seasons (B: for predatory spiders and D: for Hymenoptera parasitoids).)
PEMBAHASAN
Penelitian ini menyoroti bahwa area penelitian memiliki pengaruh terhadap kelimpahan spesies laba-laba predator. Faktor utama yang dikaitkan dengan perbedaan kelimpahan ini adalah kondisi vegetasi tanaman. Hal tersebut karena perbedaan kondisi vegetasi tanaman yang berbeda maka keadaan habitat sekitar lahan pun berbeda yang dapat memengaruhi perbedaan kekayaan dan kelimpahan spesies artropoda (Rizali et al., 2002) Pada lahan penelitian area 2 memiliki kelimpahan laba-laba tertinggi karena terdapat banyak tanaman tahunan yang berada disekitar area tersebut. Hal tersebut sesuai dengan penelitian (Kurniawan et al., 2014) laba-laba predator menyukai habitat yang terlindung dari suhu ekstrim, kelembaban tinggi, intensitas cahaya rendah, dan kecepatan angin rendah.Pada perlakuan, refugia tidak memberikan pengaruh terhadap kekayaan dan kelimpahan laba- laba predator maupun parasitoid Hymenoptera. Posisi petak refugia yang berada di tengah lahan dan pola tanam refugia dengan sistem blok menyebabkan akses laba-laba predator dan parasitoid Hymenoptera terhadap sumber biodiversitas terhalang oleh tanaman jagung yang ada. Berdasarkan penelitian (Sepe & Djafar, 2018) pola tanam refugia dengan sistem blok (blok refuge) mempunyai kelimpahan spesies lebih rendah daripada sistem penanaman refugia pinggir petak lahan (perimeter refuge). Luas plot refugia pada area penelitian adalah 75 m2 atau 3,75% dari 2000 m2 lahan jagung yang ada. Proporsi efektif untuk penanaman tanaman refugia dilahan dari 5–20% sebagai bagian dari program insect resistance management (Hyde et al., 2000) Luas penanaman refugia tersebut dianggap sebagai batas kemampuan refugia dalam mendukung keberadaan musuh alami pada suatu agroekosistem(EuropaBio, 2019) Keanekaragaman tanaman dengan melakukan pemilihan jenis tanaman refugia tidak berpengaruh terhadap kekayaan dan kelimpahan arthropoda musuh alami (laba-laba predator dan parasitoid Hymenoptera) (N’woueni & Gaoue, 2022) Musuh alami memiliki sensitivitas atau peka terhadap warna, bentuk bunga dan aroma tertentu bunga yang digunakan sebagai refugia, hal ini memungkinan arthropoda tertentu yang dapat mengunjungi jenis tanaman tertentu (Latty & Trueblood, 2020) Namun, ada beberapa jenis tanaman refugia yang berperan sebagai penghalau kehadiran serangga, seperti kenikir. Salah satu kandungan senyawa volatil yang terdapat pada tanaman kenikir dan bersifat toksik bagi arthropoda adalah flavonoid. Oleh sebab itu, pemanfaatan kenikir sebagai refugia memiliki sifat repellent karena mengandung senyawa flavonoid sehingga diduga dapat menjadi salah satu penyebab refugia tidak berpengaruh terhadap keanekaragaman.Pada perlakuan perbedaan musim tanam menunjukkan hasil yang berbeda nyata pada kekayaan spesies laba-laba predator, sedangkan tidak pada kelimpahan spesies laba-laba predator serta kekayaan dan kelimpahan spesies parasitoid Hymenoptera. Hal tersebut dapat dipengaruhi oleh ketersediaan sumber mangsa/inang(Ervianna et al., 2020) Musim kedua (musim penghujan) dapat meningkatkan ketersediaan sumber mangsa bagi laba-laba predator, seperti serangga Ordo Hemiptera, Diptera, Orthoptera, dan Coleoptera. Faktor lain yang dapat mempengaruhi adalah ketersediaan tempat berlindung. Musim penghujan juga dapat menyediakan kondisi habitat yang sesuai bagi laba-laba predator sehingga terhindar dari gangguan lingkungan, seperti panas yang berlebihan(Ervianna et al., 2020)Teknik budi daya juga dapat berpengaruh karena yang diterapkan pada musim pertama (kemarau) dan musim kedua (penghujan) sama (Saputri et al., 2016) Lahan penelitian dilakukan pengaplikasian pestisida yang diduga dapat memengaruhi keberadaan parasitoid Hymenoptera. Pengaplikasian pestisida yang sama pada kedua musim tersebut dapat menyebabkan perbedaan musim tidak berpengaruh terhadap kekayaan dan kelimpahan spesies parasitoid Hymenoptera(Hendrival & Khalid, 2017) Aplikasi pestisida sintetik dapat menurunkan kelimpahan spesies parasitoid Hymenoptera karena rentan terhadap paparan pestisida(Hendrival & Khalid, 2017) Pada analisis kemiripan komposisi, spesies laba-laba predator pada perlakuan refugia dengan non-refugia serta perbedaan musim tanam menunjukkan komposisi yang tidak mirip. Hal ini dapat disebabkan laba-laba predator merupakan predator generalis yang artinya mampu memangsa berbagai jenis serangga dan arthropoda lainnya (Mora-rubio & Parejo-pulido, 2021) Laba-laba predator yang bersifat generalis ini menangkap mangsa secara acak, contohnya pada beberapa penelitian yang pernah dilakukan, seperti laba-laba predator Linyphiidae memangsa aphid, dipterans, collembola(Kuusk & Ekbom, 2012)Pada komposisi spesies parasitoid Hymenoptera perlakuan blok refugia dengan non-refugia menunjukkan komposisi spesies yang mirip. Hal tersebut karena kebutuhan nektar dan polen pada parasitoid Hymenoptera yang ditemukan di area penelitian (Braconidae, Ichneumonidae, Scelionidae, Evaniidae dan Diapriidae) sudah terpenuhi oleh tanaman jagung. Hal tersebut menyebabkan parasitoid Hymenoptera yang ditemukan tidak bergantung terhadap polen dan nektar dari tanaman refugia yang ditanam. Menurut hasil penelitian dari(Surya et al., 2018) parasitoid Hymenoptera yang dominan ditemukan di pertanaman jagung berasal dari Famili Braconidae dan Ichneumonidae yang menandakan bahwa tanaman jagung sudah dapat memenuhi kebutuhan polen dan nektar dari parastioid Hymenoptera. Hal tersebut juga didukung oleh penelitian(Rizali et al., 2021) bahwa salah satu famili parasitoid yang ditemukan di pertanaman jagung adalah Scelionidae. Sementara, pada perlakuan musim pertama (kemarau) dengan musim kedua (penghujan) menunjukkan hasil komposisi parasitoid Hymenoptera tidak mirip. Hal tersebut karena musim kedua (penghujan) dapat merugikan serangga terbang. Parasitoid Hymenoptera akhirnya terdampak negatif sehingga tidak bisa terbang secara leluasa. Hal tersebut didukung oleh pernyataan(Reflinaldon & D, 2011) yang menyatakan bahwa kemampuan terbang parasitoid Hymenoptera tergolong terbatas.
KESIMPULAN
Penanaman refugia pada lahan jagung tidak berpengaruh terhadap keanekaragaman musuh alami, namun tanaman refugia hanya berpengaruh terhadap komposisi spesies laba-laba predator. Sementara, pada musim yang berbeda terdapat perbedaan kekaayaan spesies laba-laba predator. Perbedaan musim juga berpengaruh pada komposisi spesies laba-laba predator dan parasitoid Hymenoptera. Hasil penelitian ini menunjukkan bahwa konservasi musuh alami melalui penanaman refugia perlu mempertimbangkan luas dan posisi penanaman refugia.
References
- Adriyani R.. Usaha pengendalian pencemaran lingkungan. Jurnal Kesehatan Lingkungan. 2006; 3:95-106.
- Altieri M.A.. The ecological role of biodiversity in agroecosystems. Agriculture, Ecosystems and Environment. 1999; 74:19-31. DOI
- Statistik Badan Pusat. Luas panen, produksi, dan produktivitas jagung menurut provinsi. 2023. Publisher Full Text
- Ervianna A.R., Hadi M., Rahadian R.. Kelimpahan dan keragaman serangga OPT (organisme pengganggu tanaman) dan musuh alaminya pada tanaman jagung dan padi dengan sistem rotasi tanaman. Bioma. 2020; 22:59-69.
- EuropaBio. EuropaBio EMA Working Group; 2019.
- Flora M., Singkoh O., Katili D.Y.. Bahaya pestisida sintetik (sosialisasi dan pelatihan bagi wanita kaum ibu Desa Koka Kecamatan Tombulu Kabupaten Minahasa. Jurnal Perempuan dan Anak Indonesia. 2019; 1:5-12. DOI
- Gonçalves M.F., Pereira J.A.. Abundance and diversity of soil arthropods in the Olive Grove ecosystem. Journal of Insect Science. 2012; 12:1-14. DOI
- Goulet H., Huber J.T.. Centre for Land and Biological Resources Research: Canada; 1993.
- Handayani I.S., Dadang Nurmansyah, A.. Perbedaan pola tanam dan ritekria aplikasi insektisida memengaruhi keanekaragaman arthropoda tanah pada pertanaman kubis (Brassica oleracea. Jurnal Entomologi Indonesia. 2019; 16:163-170. DOI
- Hendrival H., Khalid A.. Perbandingan keanekaragaman Hymenoptera parasitoid pada agroekosistem kedelai dengan aplikasi dan tanpa aplikasi insektisida. Journal of Biology. 2017; 10:48-58. DOI
- Hudoyo A., Nurmayasari I.. Peningkatan produktivitas jagung di Indonesia. Indonesia Indonesian Journal of Socio Economics. 2019; 1:102-108. Publisher Full Text
- Hyde J., Martin M.A., Preckel P.V., Dobbins C.L., Edwards R.. The economics of within-field Bt corn refuges. AgbioForum. 2000; 3:63-68.
- Kumar C.A., Shakunthala S.. Economic and Ecological Significance of Arthropods in Diversified Ecosystems: Sustaining Regulatory Mechanisms. 2016. DOI
- Kurniawan C., Setyawati T.R., Yanti A.H.. Eksplorasi laba-laba (Araneae) di Hutan Sebelah Darat Desa Lingga Kecamatan Sungai Ambawang. Protobiont. 2014; 3:218-224.
- Kurniawati N., Martono E.. Peran tumbuhan berbunga sebagai media konservasi artropoda musuh alami. Jurnal Perlindungan Tanaman Indonesia. 2017; 19:53-59. DOI
- Kuusk A.-K., Ekbom B.. Feeding habits of lycosid spiders in field habitats. Journal of Pest Science. 2012; 85:253-260. DOI
- Latty T., Trueblood J.S.. How do insects choose flowers? A review of multi-attribute flower choice and decoy effects in flower-visiting insects. Journal of Animal Ecology. 2020; 89:2750-2762. DOI
- Mahanani A.P., Ramazayandi R., Suryana J.. Pengenalan sistem refugia pada lahan pertanian di Desa Jalaksana, Kabupaten Kuningan. Jurnal Pusat Inovasi Masyarakat. 2020; 2:591-596.
- Maramis R.T.D.. Diversitas laba-laba (predator generalis) pada tanaman kacang merah (Vigna angularis) di Kecamatan Tompaso, Kabupaten Minahasa. Jurnal Bioslogos. 2014; 4:1-8. DOI
- Mora-rubio C., Parejo-pulido D.. Notes on the diet of the mediterranean black widow Lactrodectus tredecimguttatus. 2021. DOI
- Muliani Y., Srimurni R.R.. CV Jejak: Sukabumi; 2022.
- N’woueni D.K., Gaoue O.G.. Plant diversity increased arthropod diversity and crop yield in traditional agroforestry systems but has no effect on herbivory. Sustainability (Switzerland. 2022; 14DOI
- Pierre J.F., Latournerie-Moreno L., Garruña R., Jacobsen K.L., Laboski C.A.M., Us-Santamaría R., Ruiz-Sánchez E.. Effect of maize–legume intercropping on maize physio-agronomic parameters and beneficial insect abundance. Sustainability (Switzerland. 2022; 14(12385)DOI
- Pilianto J., Mudjiono G., Hadi M.S.. Strategi Pengelolaan hama Nilaparvata lugens Stål (Hemiptera: Delphacidae) dan populasi musuh alaminya pada tanaman padi lahan irigasi melalui rekayasa ekologi (ecological engineering. Jurnal Hama dan Penyakit Tumbuhan. 2021; 9:133-142. DOI
- Reflinaldon Buchori D., D Aprianto. Keragaman genetik, kebugaran dan inkompatibilitas reproduksi Hemiptarsenus varicornis Girault (Hymenoptera: Eulophidae), parasitoid larva Liriomyza huidobrensis (Diptera : Agromyzidae. Jurnal Hama dan Penyakit Tumbuhan Tropika. 2011; 11:1-10. DOI
- Rizali A., Buchori D., Triwidodo H.. Keanekaragaman serangga pada lahan persawahan-tepian hutan: Indikator untuk kesehatan lingkungan. Hayati. 2002; 9:41-48.
- Rizali A., Oktaviyani Putri, SDPS Doananda, M Linggani, A.. Invasion of fall armyworm Spodoptera frugiperda, a new invassive pest, alters native herbivore attack intensity and natural enemy diversity. Biodiversitas. 2021; 22:3482-3488. DOI
- Salelua S.A., Maryam S.. Potensi dan prospek pengembangan produksi jagung (Zea mays L.) di Kota Samarinda. Jurnal Aagribisnis dan Komunikasi Pertanian. 2018; 1:47-53. DOI
- Saputri R.D., Hanani D.Y., Dewanti N.A.Y.. Hubungan penggunaan dan penanganan pestisida pada petani bawang merah terhadap residu pestisida dalam tanah di lahan pertanian Desa Wanasari, Kecamatan Wanasari, Kabupaten Brebes. Jurnal Kesehatan Masyarakat. 2016; 4:879-887. Publisher Full Text
- Saranya V.S.L., Samiayyan K., Shanmuga Prema M.. Diversity of predatory spider fauna in maize ecosystem. Journal of Biological Control. 2019; 33:27-35. DOI
- Sepe M., Djafar M.I.. Perpaduan tanaman refugia dan tanaman kubis pada berbagai pola tanam dalam menarik predator dan parasitoid dalam penurunan populasi hama. Agrovital. 2018; 3:55-59. DOI
- Sobhy I.S., Tamiru A., Chiriboga Morales X., Nyagol D., Cheruiyot D., Chidawanyika F., Subramanian S., Midega C.A.O., Bruce T.J.A., Khan Z.R.. Bioactive volatiles from push-pull companion crops repel fall armyworm and attract is parasitoids. Frontiers in Ecology and Evolution. 2022; 10:1-16. DOI
- Sulaiman A.A., Kariyasa I.K., Hoerudin Subagyono, K Bahar, F.A.. IAARD PRESS. 2017. Publisher Full Text
- Surya E., Asmadi Muhammad, R Armi. Tingkat kelimpahan parasitoid terhadap hama serangga di lahan jagung Gampong Lam Lumpu, Kecamatan Peukan Bada, Kabupaten Aceh Besar. Prosiding Seminar Nasional Biotik. 2018; 6:367-377.
- Borror D.J., Triplehorn C.A., Jhonson N.F.. Thomson Brooks/Cole: California; 2005.
- N Widiarta I., D Kusdiaman, S Suprihanto. Keragaman arthropoda pada padi sawah dengan pengelolaan tanaman terpadu. Jurnal Hama dan Penyakit Tumbuhan Tropika. 2006; 6:61-69. DOI
Adriyani R. 2006. Usaha pengendalian pencemaran lingkungan. Jurnal Kesehatan Lingkungan. 3:95–106.
Altieri MA. 1999. The ecological role of biodiversity in agroecosystems. Agriculture, Ecosystems and Environment. 74:19–31. DOI: https://doi.org/10.1016/S0167-8809(99)00028-6.
Badan Pusat Statistik [BPS]. 2023. Luas panen, produksi, dan produktivitas jagung menurut provinsi, 2022–2023. Available at: https://www.bps.go.id/id [accessed 5 July 2023].
Ervianna AR, Hadi M, Rahadian R. 2020. Kelimpahan dan keragaman serangga OPT (organisme pengganggu tanaman) dan musuh alaminya pada tanaman jagung dan padi dengan sistem rotasi tanaman. Bioma. 22:59–69.
EuropaBio. 2019. Harmonised Insect Resistance Management (IRM) Plan for Cultivation of Bt Maize (Single Insecticidal Trait) in the EU Table of Contents. EuropaBio EMA Working Group.
Flora M, Singkoh O, Katili DY. 2019. Bahaya pestisida sintetik (sosialisasi dan pelatihan bagi wanita kaum ibu Desa Koka Kecamatan Tombulu Kabupaten Minahasa). Jurnal Perempuan dan Anak Indonesia. 1:5–12. DOI: https://doi.org/10.35801/jpai.1.1.2019.24973.
Gonçalves MF, Pereira JA. 2012. Abundance and diversity of soil arthropods in the Olive Grove ecosystem. Journal of Insect Science. 12:1–14. DOI: https://doi.org/10.1673/031.012.2001.
Goulet H, Huber JT. 1993. Hymenoptera of The World: An Identification Guide to Famihes. Canada: Centre for Land and Biological Resources Research, Agriculture Canada.
Handayani IS, Dadang, Nurmansyah A. 2019. Perbedaan pola tanam dan ritekria aplikasi insektisida memengaruhi keanekaragaman arthropoda tanah pada pertanaman kubis (Brassica oleracea). Jurnal Entomologi Indonesia. 16:163–170. DOI: https://doi.org/10.5994/jei.16.3.163.
Hendrival H, Khalid A. 2017. Perbandingan keanekaragaman Hymenoptera parasitoid pada agroekosistem kedelai dengan aplikasi dan tanpa aplikasi insektisida. Journal of Biology. 10: 48–58. DOI: https://doi.org/10.15408/kauniyah.v10i1.4899.
Hudoyo A, Nurmayasari I. 2019. Peningkatan produktivitas jagung di Indonesia. Indonesia Indonesian Journal of Socio Economics. 1:102–108. DOI: https://jurnal.fp.unila.ac.id/index.php/IJSE/article/view/3627/2705.
Hyde J, Martin MA, Preckel PV, Dobbins CL, Edwards R. 2000. The economics of within-field Bt corn refuges. AgbioForum. 3:63–68.
Kumar CA, Shakunthala S. 2016. Economic and Ecological Significance of Arthropods in Diversified Ecosystems: Sustaining Regulatory Mechanisms. Springer. DOI: https://doi.org/10.1007/978-981-10-1524-3_3.
Kurniawan C, Setyawati TR, Yanti AH. 2014. Eksplorasi laba-laba (Araneae) di Hutan Sebelah Darat Desa Lingga Kecamatan Sungai Ambawang. Protobiont. 3:218–224.
Kurniawati N, Martono E. 2017. Peran tumbuhan berbunga sebagai media konservasi artropoda musuh alami. Jurnal Perlindungan Tanaman Indonesia. 19:53–59. DOI: https://doi.org/10.22146/jpti.16615.
Kuusk A-K, Ekbom B. 2012. Feeding habits of lycosid spiders in field habitats. Journal of Pest Science. 85:253–260. DOI: https://doi.org/10.1007/s10340-012-0431-4.
Latty T, Trueblood JS. 2020. How do insects choose flowers? A review of multi-attribute flower choice and decoy effects in flower-visiting insects. Journal of Animal Ecology. 89:2750–2762. DOI: https://doi.org/10.1111/1365-2656.13347.
Mahanani AP, Ramazayandi R, Suryana J. 2020. Pengenalan sistem refugia pada lahan pertanian di Desa Jalaksana, Kabupaten Kuningan. Jurnal Pusat Inovasi Masyarakat. 2:591–596.
Maramis RTD. 2014. Diversitas laba-laba (predator generalis) pada tanaman kacang merah (Vigna angularis) di Kecamatan Tompaso, Kabupaten Minahasa. Jurnal Bioslogos. 4:1–8. DOI: https://doi.org/10.35799/jbl.4.1.2014.4840.
Mora-rubio C, Parejo-pulido D. 2021. Notes on the diet of the mediterranean black widow Lactrodectus tredecimguttatus (Rossi, 1790) (Araneae: Theridiidae) in South Western Iberian Penisula. Graellsia. 77:1–6. DOI: https://doi.org/10.3989/graellsia.2021.v77.297.
Muliani Y, Srimurni RR. 2022. Parasitoid dan Predator Pengendali Serangga Hama. Sukabumi: CV Jejak.
N’woueni DK, Gaoue OG. 2022. Plant diversity increased arthropod diversity and crop yield in traditional agroforestry systems but has no effect on herbivory. Sustainability (Switzerland). 14: 2942. DOI: https://doi.org/10.3390/su14052942.
Pierre JF, Latournerie-Moreno L, Garruña R, Jacobsen KL, Laboski CAM, Us-Santamaría R, Ruiz-Sánchez E. 2022. Effect of maize–legume intercropping on maize physio-agronomic parameters and beneficial insect abundance. Sustainability (Switzerland). 14:12385. DOI: https://doi.org/10.3390/su141912385.
Pilianto J, Mudjiono G, Hadi MS. 2021. Strategi Pengelolaan hama Nilaparvata lugens Stål (Hemiptera: Delphacidae) dan populasi musuh alaminya pada tanaman padi lahan irigasi melalui rekayasa ekologi (ecological engineering). Jurnal Hama dan Penyakit Tumbuhan. 9:133–142. DOI: https://doi.org/10.21776/ub.jurnalhpt.2021.009.4.3.
Reflinaldon, Buchori D, Aprianto D. 2011. Keragaman genetik, kebugaran dan inkompatibilitas reproduksi Hemiptarsenus varicornis Girault (Hymenoptera: Eulophidae), parasitoid larva Liriomyza huidobrensis (Diptera : Agromyzidae). Jurnal Hama dan Penyakit Tumbuhan Tropika. 11:1–10. DOI: https://doi.org/10.23960/j.hptt.1111-10.
Rizali A, Buchori D, Triwidodo H. 2002. Keanekaragaman serangga pada lahan persawahan-tepian hutan: Indikator untuk kesehatan lingkungan. Hayati. 9:41–48.
Rizali A, Oktaviyani, Putri SDPS, Doananda M, Linggani A. 2021. Invasion of fall armyworm Spodoptera frugiperda, a new invassive pest, alters native herbivore attack intensity and natural enemy diversity. Biodiversitas. 22:3482–3488. DOI: https://doi.org/10.13057/biodiv/d220847.
Salelua SA, Maryam S. 2018. Potensi dan prospek pengembangan produksi jagung (Zea mays L.) di Kota Samarinda. Jurnal Aagribisnis dan Komunikasi Pertanian. 1:47–53. DOI: https://doi.org/10.35941/jakp.1.1.2018.1703.47-53.
Saputri RD, Hanani DY, Dewanti NAY. 2016. Hubungan penggunaan dan penanganan pestisida pada petani bawang merah terhadap residu pestisida dalam tanah di lahan pertanian Desa Wanasari, Kecamatan Wanasari, Kabupaten Brebes. Jurnal Kesehatan Masyarakat. 4:879–887. DOI: https://ejournal3.undip.ac.id/index.php/jkm/article/view/13691.
Saranya VSL, Samiayyan K, Shanmuga Prema M. 2019. Diversity of predatory spider fauna in maize ecosystem. Journal of Biological Control. 33:27–35. DOI: https://doi.org/10.18311/jbc/2019/22093.
Sepe M, Djafar MI. 2018. Perpaduan tanaman refugia dan tanaman kubis pada berbagai pola tanam dalam menarik predator dan parasitoid dalam penurunan populasi hama. Agrovital. 3:55–59. DOI: https://doi.org/10.35329/agrovital.v3i2.206.
Sobhy IS, Tamiru A, Chiriboga Morales X, Nyagol D, Cheruiyot D, Chidawanyika F, Subramanian S, Midega CAO, Bruce TJA, Khan ZR. 2022. Bioactive volatiles from push-pull companion crops repel fall armyworm and attract is parasitoids. Frontiers in Ecology and Evolution. 10:1–16. DOI: https://doi.org/10.3389/fevo.2022.883020.
Sulaiman AA, Kariyasa IK, Hoerudin, Subagyono K, Bahar FA. 2017. Cara cepat swasembada jagung. In: Sembiring H, Yulianto, Widiarta IN (Eds.), IAARD PRESS. (Edisi I). IAARD PRESS. Available at: https://medium.com/@arifwicaksanaa/pengertian-use-case-a7e576e1b6bf [accessed 9 July 2023].
Surya E, Asmadi, Muhammad R, Armi. 2018. Tingkat kelimpahan parasitoid terhadap hama serangga di lahan jagung Gampong Lam Lumpu, Kecamatan Peukan Bada, Kabupaten Aceh Besar. Prosiding Seminar Nasional Biotik. 6:367–377.
Borror DJ, Triplehorn CA, Jhonson NF. 2005. Borror and Delong’s Introduction to the Study of Insects. 7th ed. California: Thomson Brooks/Cole.
Widiarta I N, Kusdiaman D, Suprihanto S. 2006. Keragaman arthropoda pada padi sawah dengan pengelolaan tanaman terpadu. Jurnal Hama dan Penyakit Tumbuhan Tropika. 6:61–69. DOI: https://doi.org/10.23960/j.hptt.2661-69.
Copyright (c) 2023 Fahmi Risyad Sulthoni, Hagus Tarno, Akhmad Rizali, Windra Priawandiputra, Damayanti Buchori, Midzon Johannis

This work is licensed under a Creative Commons Attribution 4.0 International License.
Authors who publish with this journal agree to the following terms:
- Authors retain copyright and grant the journal right of first publication with the work simultaneously licensed under a Creative Commons Attribution 4.0 International License that allows others to share the work with an acknowledgement of the work's authorship and initial publication in this journal.
- Authors are able to enter into separate, additional contractual arrangements for the non-exclusive distribution of the journal's published version of the work (e.g., post it to an institutional repository or publish it in a book), with an acknowledgement of its initial publication in this journal.
- Authors are permitted and encouraged to post their work online (e.g., in institutional repositories or on their website) prior to and during the submission process, as it can lead to productive exchanges, as well as earlier and greater citation of published work (See The Effect of Open Access).









